ТЯГОВЫЕ ДВИГАТЕЛИ ПЕРЕМЕННОГО ТОКА
Бесколлекторные электрические двигатели переменного тока получили широкое применение в самых различных отраслях техники благодаря простоте устройства. Электродвигатели переменного тока, как и двигатели постоянного тока, представляют собой электрические машины, предназначенные для преобразования электрической энергии в механическую. Однако в способах осуществления этого принципа в электродвигателях двух типов имеются существенные различия.
В электродвигателях переменного тока используется вращающееся магнитное поле. Поместим во вращающееся поле проводник в виде замкнутой рамки на оси (рис. 176).

Рис. 176. Схема простейшего электродвигателя переменного тока
Оси вращения магнитного потока и рамки должны совпадать. Магнитный поток, пересекая рабочие стороны рамки, будет индуктировать в них э. д. с, как в любом электрическом генераторе. Согласованная э. д. с. в рабочих сторонах приведет к возникновению электрического тока в замкнутой рамке. Этот ток взаимодействует с магнитным полем. Образуется пара сил, которая создает вращающий момент, заставляющий рамку поворачиваться вслед за магнитным полем. Таким образом, в электродвигателе переменного тока вращающийся магнитный поток полюсов статора индуктирует в замкнутых рамках, образующих витки обмотки ротора, электрический ток. Здесь ротор приводится во вращение теми же силами взаимодействия магнитного поля и тока, как и якорь в двигателях постоянного тока, но отпадает необходимость в подводе тока от внешнего источника к вращающейся обмотке, а значит, и надобность в коллекторе. Частота вращения ротора такого электродвигателя окажется несколько меньше частоты вращения магнитного поля. Только при этом условии магнитные силовые линии будут пересекать проводники, образующие витки, и, следовательно, в витках возникнет ток, взаимодействующий с магнитным полем. Если частоты вращения поля и витков будут одинаковыми, то магнитное поле не будет пересекать проводников, исчезнет ток в витках, являющийся причиной вращения ротора. Поэтому ротор и магнитное поле вращаются не с одинаковой частотой, или, как говорят, вращаются несинхронно (асинхронно). Электрические двигатели, работающие по рассмотренному принципу, получили название асинхронных. Само слово «асинхронный» образовано с помощью приставки «а», используемой в иностранных, преимущественно греческого происхождения, словах, выражающей отрицание или отсутствие какого-либо качества. В асинхронном двигателе отсутствует качество синхронного вращения магнитного поля и ротора.
Различие частоты вращения магнитного поля и ротора характеризуют скольжением. Численно скольжение s представляет собой отношение разности частот вращения магнитного поля и ротора к частоте вращения магнитного поля.
Рассмотренное выше устройство, обеспечивающее вращение ротора, еще не является электродвигателем, так как требует механического вращения статора. В электродвигателе вращающееся магнитное поле должен создать непосредственно электрический ток. Вращающееся магнитное поле может быть получено с помощью многофазного тока. Рассмотрим принцип работы асинхронного двигателя трехфазного тока. На полюсах стального сердечника статора кольцевой формы размещены три обмотки, смещенные последовательно на угол в 120° (рис. 177).

Рис. 177. Схема трехфазного асинхронного электродвигателя
Внутри статора располагается ротор с обмоткой. Подключим катушки статора к источнику трехфазного электрического тока, как показано на рис. 178, и проследим процессы изменения тока I в катушках и создаваемого ими магнитного потока в зависимости от времени t, В положении а ток в I фазе равен нулю, во II фазе он имеет отрицательное значение, а в III — положительное. Воспользовавшись правилом правой руки для определения направления, создаваемого током магнитного потока, можно установить, что внутренний конец сердечника второй катушки 2 будет северным полюсом, а внутренний конец сердечника третьей катушки 3 окажется южным полюсом. Суммарный магнитный поток внутри электродвигателя направлен от северного полюса катушки 2 к южному полюсу катушки 3. Дальнейшее изменение тока в фазах постепенно меняет величину магнитного потока катушек. В положении б ток во II фазе равен нулю. В III фазе ток
изменил направление на отрицательное, и этот полюс 3 стал северным. Первый полюс 1, по катушке которого течет ток в положительном направлении, становится южным. Суммарный магнитный поток теперь направлен от третьего полюса к первому, т. е. повернулся на 120°, как это легко видеть из сравнения положений а и б на рис. 178.

Рис. 178. Схема получения вращающегося магнитного поля в трехфазном электродвигателе
В положении в за счет дальнейшего изменения тока в катушках первый полюс становится северным, второй южным, в катушке третьего полюса ток отсутствует. Суммарный магнитный поток двигателя повернулся еще на угол 120°. И наконец, в положении г токи в катушках по величине и направлению становятся такими же, как и в положении а. Магнитный поток еще повернулся на 120°. Таким образом, за один период изменения переменного тока магнитный поток сделал полный оборот. Почти на один оборот (с учетом скольжения) повернется и ротор двигателя, увлекаемый магнитным потоком. Из рис. 178 можно видеть, что три полюсных обмотки асинхронного двигателя трехфазного тока создают двухполюсное магнитное поле (поле имеет один северный и один южный полюсы). В этом случае частота вращения магнитного поля равна частоте тока.
Если статор трехфазного двигателя оборудовать шестью полюсными обмотками, то они создадут два магнитных потока, т. е. четырехполюсное магнитное поле. При применении девяти полюсных обмоток образуются три магнитных потока и, следовательно, шестиполюсное магнитное поле и т. д.
Известно, что частота вращения магнитного потока в электродвигателе переменного тока зависит как от частоты тока f, так и от числа пар полюсов р и составляет n=f/p.
Во избежание больших потерь энергии в электродвигателе, т. е. для повышения к. п. д. двигателя, скольжение должно быть минимальным. В двигателях трехфазного тока скольжение в зависимости от нагрузки меняется от 2— 3 до 5 — 6%. Таким образом, частота вращения ротора асинхронного двигателя всегда близка к частоте вращения магнитного потока.
Для реверсирования двигателя переменного тока необходимо заставить вращаться в обратную сторону магнитный поток полюсов, что осуществляется изменением подключения любых двух фаз статорной обмотки.
Рассмотрим устройство электродвигателя переменного тока (рис. 179).

Рис. 179. Статор трехфазного асинхронного двигателя
Магнитопровод (сердечник) статора набирается из тонких штампованных листов электротехнической стали для уменьшения потерь на вихревые токи. Сердечник на внутренней поверхности имеет пазы, в которые укладываются изолированные проводники обмотки статора в виде отдельных катушек для каждой фазы. Собранный сердечник с обмоткой устанавливают в станине электродвигателя. Все начала и концы катушек обмотки статора выводят наружу для соединения с внешней цепью и обеспечения реверсирования двигателя.
Ротор двигателя имеет сердечник из штампованных листов электротехнической стали. В пазы ротора укладывается обмотка. В зависимости от типа обмотки ротора асинхронные электродвигатели разделяются на двигатели с короткозамкнутым ротором и фазным ротором. Простейшим является короткозамкнутый ротор. Короткозамкнутая обмотка выполняется из медных стержней, соединенных по торцам медными кольцами (рис. 180). Такого типа обмотка получила название «беличьей клетки» или «беличьего колеса». Медные стержни нет необходимости изолировать в пазах. Иногда «беличье колесо» выполняется из алюминия, заливаемого в пазы ротора.

Рис. 180. Схема обмотки короткозамкнутогго ротора "беличье колесо"
Фазный ротор снабжен обмоткой из изолированного провода, ее концы присоединяют к контактным кольцам ротора. Через щеточный аппарат обмотка замыкается на пусковой реостат. Пусковой реостат увеличивает сопротивление обмотки ротора. При пуске двигателя с помощью пускового реостата резко снижается сила пускового тока. Пусковой реостат позволяет осуществить плавное регулирование вращения ротора в определенных пределах.
Из опыта эксплуатации тепловозов известно, что одними из наиболее уязвимых частей тяговых двигателей являются изоляция сложной по конструкции якорной обмотки, коллектор, щетки. Нарушения изоляции якоря, повреждения и износ коллектора требуют сложного ремонта тяговых двигателей. Сколотые, разрушенные щетки следует немедленно заменить, так как это может привести к тяжелым повреждениям коллектора, обмоток двигателя. Замену щеток практически можно производить лишь в депо, притирка новых щеток по коллектору весьма трудоемка. Образующаяся при износе и повреждении щеток электрографитовая токопроводящая пыль может вызвать перебросы тока между частями двигателей и их повреждения, поэтому тяговые электродвигатели постоянного тока требуют систематического ухода, очистки и продувки сжатым воздухом.
По сравнению с электродвигателями постоянного тока асинхронный двигатель трехфазного тока с короткозамкнутым ротором отличается рядом преимуществ. Действительно, в асинхронных двигателях такого типа ротор имеет простейшую конструкцию. В нем нет тяжелого коллектора, сложной обмотки, которая должна быть тщательно изолирована; не имеется и капризного в эксплуатации щеточного аппарата. Кроме того, ввиду отсутствия коллектора в асинхронных двигателях не нужны устройства, облегчающие процесс коммутации, в том числе и добавочные полюсы. Максимальная частота вращения ротора не ограничивается допустимой окружной скоростью коллектора. Вращающееся магнитное поле позволяет обеспечить более высокое использование электромагнитных сил в электродвигателе. Поэтому асинхронный двигатель по сравнению с двигателем постоянного тока имеет меньшую массу, для его изготовления расходуется меньше дефицитных материалов. Снижение массы тягового двигателя является весьма важным еще и потому, что приводит к уменьшению воздействия неподрессоренных масс локомотива на железнодорожный путь. Асинхронные двигатели значительно надежнее в эксплуатации, менее трудоемки в обслуживании и ремонте. Как указывалось выше, частота вращения ротора асинхронного двигателя не может достигнуть частоты вращения магнитного потока статора. Благодаря этому асинхронные двигатели не допускают резкого повышения частоты вращения ротора при снятии механической нагрузки. В условиях применения их на тепловозах это означало бы исключение боксования колесных пар со значительным увеличением частоты их вращения. Особенно заманчивым казалось использование асинхронных тяговых двигателей на тепловозах с тяговыми генераторами переменного тока. В этом случае вырабатываемый генератором ток может быть непосредственно направлен в асинхронные тяговые двигатели. Главное препятствие на пути внедрения тяговых асинхронных электродвигателей — это трудность регулирования частоты их вращения для изменения скорости движения тепловоза при постоянной частоте вращения и мощности дизель-генератора.
Ступенчатое регулирование частоты вращения ротора асинхронного двигателя достигается путем изменения числа пар полюсов статорной обмотки. Однако применение такого способа регулирования не обеспечивает плавного изменения силы тяги тепловоза и скорости движения, значительно усложняет электрическую схему, так как необходимо производить переключения статорных обмоток двигателей. Использование фазных роторных обмоток двигателей с реостатами во внешней цепи не только усложняет электрическое оборудование тепловоза, но и снижает его к. п. д. вследствие дополнительных потерь энергии.
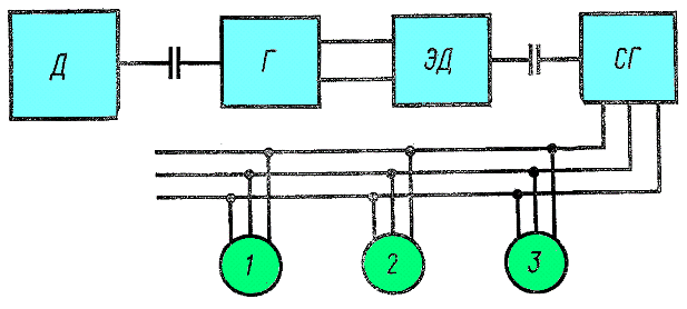
Для плавного экономичного изменения силы тяги и скорости движения тепловоза с тяговыми двигателями переменного тока необходимо также плавно регулировать частоту электрического тока, подводимого к двигателям. Регулирование частоты переменного тока можно осуществить с помощью дополнительной двигатель-генераторной установки (рис. 181).

Рис. 181. Структурная схема машинного преобразователя частоты переменного тока для тепловозов
В этом случае дизель-генератор Д тепловоза работает с постоянной частотой вращения. Генератор Г вырабатывает постоянный ток, который приводит в действие электрический двигатель ЭД дополнительной двигатель-генераторной установки. Тяговый синхронный генератор СГ переменного тока этой установки вырабатывает электрическую энергию для питания тяговых электродвигателей 1 — 3. Регулируя частоту вращения двигателя дополнительной установки можно изменять частоту вырабатываемого тяговым генератором тока в необходимых пределах для обеспечения полного использования мощности дизеля при изменении скорости движения локомотива и частоты вращения якорей тяговых двигателей. Однако легко видеть, что в этом случае на тепловозе потребуется установить дополнительную двигатель-генераторную установку, имеющую большую массу, трудоемкую в ремонте, и применить специальную систему ее автоматического регулирования. Поэтому разработанные проекты тепловозов с такой системой регулирования частоты переменного тока, используемого для асинхронных тяговых двигателей, не были практически реализованы.
Новые широкие возможности преобразования параметров электрического тока открывает применение полупроводниковой техники. Весьма компактные полупроводниковые приборы совместно со специальной системой управления их работой позволяют питать асинхронные тяговые двигатели электрическим током необходимой частоты в зависимости от скорости движения локомотива. Такие статические преобразователи тока значительно компактнее дополнительной двигатель-генераторной установки. В нашей стране и за рубежом разработаны полупроводниковые преобразователи тока для тепловозов.
Созданы и проходят испытания первые опытные образцы тепловозов с тяговыми электродвигателями переменного тока. Однако преобразователи тока еще дороги в изготовлении, недостаточно устойчива их работа.
Потери энергии в преобразователе несколько снижают общий коэффициент полезного действия локомотива. Все это сдерживает применение асинхронных тяговых электродвигателей на тепловозах.
В начало статьи
<< Назад --------------------------------- Дальше >>
|
|