Пояснения к демонстрационному варианту
контрольных измерительных материалов для ЕГЭ 2014 года по МАТЕМАТИКЕ
Демонстрационный вариант ЕГЭ по математике 2014 года разработан по заданию Федеральной службы по надзору в сфере образования и науки Российской Федерации.
Демонстрационный вариант предназначен для того, чтобы дать представление о структуре будущих контрольных измерительных материалов, количестве заданий, их форме, уровне сложности. Задания демонстрационного варианта не отражают всех вопросов содержания, которые могут быть включены в контрольные измерительные материалы в 2014 году. Структура работы приведена в спецификации, а полный перечень вопросов — в кодификаторах требований и элементов содержания по математике для составления контрольных измерительных материалов ЕГЭ 2014 года.
Правильное решение каждого из заданий В1—В14 части 1 экзаменационной работы
оценивается 1 баллом.
Правильное решение каждого из заданий С1 и С2 оценивается двумя баллами, С3 и С4 – тремя баллами,
С5 и С6 – четырьмя баллами. Максимальный первичный балл за выполнение всей работы – 32.
Верное выполнение не менее 5 заданий экзаменационной работы отвечает минимальному уровню подготовки, подтверждающему освоение выпускником основных общеобразовательных программ общего (полного) среднего образования.
К каждому заданию с развёрнутым ответом, включённому в демонстрационный вариант, даётся возможное решение. Приведённые критерии оценивания позволяют составить представление о требованиях к полноте и правильности решений. Демонстрационный вариант контрольных измерительных материалов, система оценивания, спецификация и кодификаторы помогут выработать стратегию подготовки к ЕГЭ по для проведения в 2014 году единого государственного экзамена по МАТЕМАТИКЕ
Инструкция по выполнению работы
На выполнение экзаменационной работы по математике даётся 3 часа 55 минут (235 минут). Работа состоит из двух частей, включающих в себя 20 заданий.
Часть 1 содержит 14 заданий с кратким ответом (В1-В14) базового уровня по материалу курса математики. Ответом является целое число или конечная десятичная дробь.
Часть 2 содержит 6 более сложных заданий (С1—С 6) по материалу курса математики. При их выполнении надо записать полное решение и ответ.
Все бланки ЕГЭ заполняются яркими чёрными чернилами. Допускается использование гелевой, капиллярной или перьевой ручки.
Обращаем Ваше внимание, что записи в черновике не будут учитываться при оценивании работы.
Советуем выполнять задания в том порядке, в котором они даны. Для экономии времени пропускайте задание, которое не удаётся выполнить сразу, и переходите к следующему. Если после выполнения всей работы у Вас останется время. Вы сможете вернуться к пропущенным заданиям.
Баллы, полученные Вами за выполненные задания, суммируются. Постарайтесь выполнить как можно больше заданий и набрать наибольшее количество баллов.
Желаем успеха!

Составители КИМов просто напросто вставили задачку из демоварианта прошлого года. Даже числа в условии не поменяли. Вот здесь у нас есть её разбор. Переходите по ссылке и почитайте.

Это задачка также без изменений взята из демоварианта ЕГЭ-2013 года. Даже город Ярославль не изменили. Разбор её на нашей страничке https://pomogala.ru/ege/b2_mat/ege_2.html

Это - новенькая задачка, в прошлом году была другая. Давайте её рассмотрим. Итак, в условии задачки даны длины диагоналей, которые на рисунке вообще-то не нарисованы. Давайте мысленно разрежем этот прямоугольник (как будто бы он из бумаги) по линии HF.

А теперь нижнюю половинку мысленно поставим наверх. Вот что получится!

Иначе говоря, четыре стороны ромбика GHEF, по длине как раз равны двум диагоналям прямоугольника, то есть 10 + 10 = 20. Ответ - периметр полученного четырехугольника равен 20.

Это задача на выбор наилучшего варианта. Она тоже абсолютно та же самая, что и в демоварианте 2013 года. Подробный разбор этой задачке и её подобных можно посмотреть на сайте "ПОМОГАЛА" ЗДЕСЬ.

И это задание списано без изменений из ЕГЭ-2013 года. Смотри решение ЗДЕСЬ.

И это задание без изменений перекочевало из прошлогоднего. Смотри разбор решения ЗДЕСЬ

Опять - то же задание, что и в демоварианте 2013 года. Ну, написали же, что никаких изменений нет. Эта задачка очень простая, на знание ОСНОВНОГО ТРИГОНОМЕТРИЧЕСКОГО ТОЖДЕСТВА. Вот оно

Само то тождество - которое в первой строчке. Синус в квадрате плюс косинус в квадрате этого же угла равно единице. Маленько похоже на теорему Пифагора. А снизу - видите - как бы следствия из этого тождества, которые помогают найти синус, если известен косинус, или найти косинус, если известен синус. Это как раз наш случай - есть косинус, нужен синус.

Но требуется некоторое ВАЖНОЕ уточнение. Когда мы что-нибудь извлекают из под квадратного корня - то получается два ответа ПЛЮС и МИНУС. Какой выбрать? Угол в условии меньше чем 360 градусов, но больше, чем 180 градусов. Если вы не забыли, что такое тригонометрический круг, и что синус - это проекция радиус-вектора на ось Y - то в этом диапазоне (III и IV квадранте) синус отрицательный. Значит, правильный ответ - 0,8. А если вы забыли, что такое тригонометрический круг и всякие там проекции - то загляните на ЭТУ СТРАНИЧКУ - там есть три отличных и очень понятных видеоролика по этой теме.

Ну, даже не интересно! Опять прошлогодняя задачка. Разбор смотри ЗДЕСЬ.

О! Есть некоторая разница. В прошлом году на этом месте была четырёхугольная пирамида. Что же, давайте посмотрим на конус. Мы, как минимум, знаем вот эти понятия:
- осевое сечение - это треугольничек АМВ, закрашенный сереньким цветом.
- радиус - это ОА, линия, соединяющая центр окружности с любой её точкой
- образующая - это МА, линия, которую одним концом как бы закрепили в вершине конуса М, а другим концом крутили по окружности - вот она и ОБРАЗОВАЛА при таком движении боковую поверхность конуса.
Еще мы знаем, вернее видим своими глазами, что осевое сечение конуса - это треугольник. А знаем, что площадь треугольника равна половине произведения основания на высоту. Основание нам известно, это АВ, которая составлена из двух радиусов, то есть равна 3 + 3 = 6.Высота МО неизвестна, но из прямоугольного треугольника АМО её можно найти по теореме Пифагора.

Площадь будет равна 1/2 (АВ х МО) = 1/2 (6 х 4) = 12. Ответ 12.

Задача без изменений с прошлого года. Её разбор и решение смотрите здесь.

И эта задача тоже без изменений переписана из демоварианта ЕГЭ-2013. Смотрите её разбор и решение ЗДЕСЬ

А вот тут кое-что новенькое. В прошлом году был камень, брошенный вертикально вверх. В любом случае это задание проверяет наше умение читать физические формулы и, если понадобится, слегка их преобразовывать.Здесь по сути требуется решить уравнение, где неизвестная величина f - частота отраженного сигнала. Все остальные величины в задаче даны. Чтобы они нам не морочили мозги, давайте сразу вставим их в числовом виде в эту формулку.

Далее, чтобы избавиться от знаменателя в правой части уравнения, надо обе части умножить на этот знаменатель f+749, ну и потом действовать, как нас учили по алгебре в 6-ом классе (переносить из одной части в другую, приводить подобные члены и всякая такая фигня).

Получили правильный ответ 751. Единственно, конечно, морока - умножать и делить без калькулятора (который на матемаше запрещен) эти довольно большие числа. Но морока преодолимая, надо просто повторить, как это делается в столбик на бумажке.

Этот катер по течению так же шёл и в прошлом году, решение смотри ЗДЕСЬ

Это задание - новенькое, хотя того же типа. Требуется уметь исследовать функцию на максимум и минимум с помощью производной. Это легко. Надо найти производную функции, потом приравнять её к нулю, решить полученное уравнение относительно икс - и вот при этом значении аргумента график функции будет иметь точку перегиба. Правда - не сразу ясно - максимум или минимум. Поэтому надо вычислить значения функции в этой точке, а потом справа и слева от неё. Тогда все станет ясно.
Здесь есть хитренькая функция - число е в степени х. Эта функция своеобразна потому, что при дифференциировании ни фига не меняется. То бишь - производная от неё такая же, как и сама эта функция. А число е можно упрощенно считать равным 3. Итак, находим игрек штрих:

Вот, получилось, что перегиб графика (минимум или максимум) в точке Х = 0. Посчитаем, чему будет равна функция У в этой точке

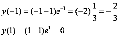
Ладно, приняли к сведению. Проверим значение функции на концах заданного отрезка, то есть при Х = -1 и при Х = 1. Как договорились, для прикидочных расчетов будем число е считать равным 3. ( на самом деле оно равно 2,7183 и так далее, бесконечное число знаков )

Видно, что на обоих концах значение функции больше, чем минус 1. Поэтому - минимальное значение функции - 1, это правильный ответ.
|