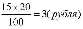
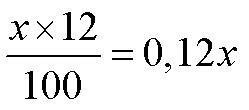
Задача В1Пример В1-1.Билет на автобус стоит 15 рублей. Какое максимальное число билетов можно купить на 100 рублей после повышения цены билета на 20%? Решение. Эту задачку будем решать в три шага. Шаг первый - определим, сколько именно рублей составила наценка. Сказано 20% от начальной цены. Что такое 20 процентов? 1 процент - это есть одна сотая часть от числа. Не зря есть однокоренные слова "центнер" - сто киллограммов и "цент" - сотая часть доллара. Найти один процент - это разделить число 15 рублей на 100. Но у нас не 1 %, а 20%. Значит, сначала 15 рублей надо разделить на 100, а потом умножить полученное на 20. Это можно сосчитать в уме: 15 рублей разделить на 100 будет 15 копеек. 15 копеек умножить на 20 будет 3 рубля. Можно записать посимпатичнее, в виде такой вот дроби: Итак, после наценки билет станет дороже на 3 рубля. Шаг второй: определяем, сколько стал стоить билет после наценки: 15 + 3 = 18 (рублей) Наконец, шаг третий: определяем, сколько билетов можно купить на 100 рублей. Для этого надо 100 : 18 = 5 (штук билетов) Здесь вообще-то нацело не делится. 18 умножить на 5 будет 90. Поэтому, когда купим 5 билетов, мы не все деньги потратим, у нас останется еще 10 рублей. Но 10 рублей недостаточно, чтобы купить шестой билет. Поэтому, ответ все-таки 5. А какая осталась сдача в этой задачке никого не интересует. Пример В1-2.Условие: Магазин закупил сахар на оптовой базе по 1200 рублей за 50-киллограмовый мешок. Торговая наценка составила 20%. Сколько пакетов сахара весом в 1 киллограмм можно купить в этом магазине на 200 рублей? Решение. Во-первых уясним, что в задаче имеется в виду рассыпной, развесной сахар-песок. а то, если думать, что его из мешка перекладывают в какие-нибудь фирменные пакеты, то на них тоже должна добавляться цена. Итак, кило сахара на оптовой базе стоило 1200 (руб) : 50 (кг) = 24 (рубля за 1 кг). Шаг второй: сколько стало стоить кило сахару после наценки 24 + 4,8 = 28,8 (рубля) Шаг третий: Сколько кило сахару можно купить на 200 рублей? 200 : 28,8 = 6 (киллограммовых пакетов) Следовательно, ответ 6. Его мы и вписываем в клеточку на бланке ЕГЭ. Пример В1-3.Ну, давайте еще одну задачку, хотя я уверен, что все уже вполне въехали. Решение. Задача, видите, сделана наоборот. Сразу, как бы, дан ответ, и требуется восстановить начало. Можно вообще-то и уравненьице составить. Например, денег было X рублей. Шаг второй: Сколько стало первоначальная сумма плюс накапанные проценты ( а эта сумма на самом-то деле дана в условии) Получилось вполне себе нормальное уравнение, его надо решить, то есть разделить 17920 на 1,12 получим 16 000 рублей Посмотрите-ка еще для закрепления видео, как школьная учительница внятно и обстоятельно рассказывает про задачку В1. Таким образом, задачка В1 проверяет умение пользоваться математикой в повседневной жизни. Представлять, как все эти магазинно-банковские заморочки переводятся на язык математических понятий. А из конкретных знаний - требуется понимать, что такое проценты, как их находить, ну и знать четыре дейстивия арифметики. Вот здесь вы можете скачать рабочую тетрадь В1 для тренировочки Двинемся дальше к задачке В2
|

