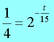
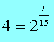
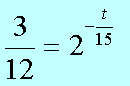
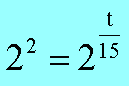
Пример В12 – 1Коэффициент полезного действия (КПД) некоторого двигателя определяется формулой Где Т1 –температура нагревателя в градусах Кельвина, Т2 – температура холодильника в градусах Кельвина. Решение. Задачки В12 сильно напоминают задачки по физике и этим некоторых напрягают. В общем-то не худо бы воображать описанный в задачке процесс, но и без этого воображения задачку вполне себе можно решить. А теперь решаем это уравнение обычным способом. 2. Раскрываем скобки в правой части уравнения 3. Переносим члены, содержащие неизвестную величину, в левую часть 4. Выносим Т1 за скобки Из последнего выражения легко находим Т1 = - 27 500/ - 55 = 500 Пример В12 – 2Камень брошен вертикально вверх. Пока камень не упал, высота, на которой он находится, описывается формулой где h – высота в метрах, t – время в секундах, прошедшее с момента броска. Сколько секунд камень находился на высоте не менее 9 метров? Решение. Вообще эту задачу можно попробовать решить тупо, если подставлять значения t = 1,2,3,4 и т.д. То есть определять, на какой высоте камень был через 1 секунду после броска, через 2 секунды, через 3 секунды, через 4 секунды и так далее. Хорошо видно, что через 1 секунду камень был на высоте 13 метров, через 2 секунды – на высоте 16 метров, через 3 – на высоте 9 метров (начал уже падать), а через 4 – на высоте минус 8 метров (типа провалился уже ниже земли). Моно ли сказать, что ТРИ секунды камень находился или на высоте 9 метров или выше (но не ниже)? Нет, не три, - скажет внимательный читатель. В течение первой секунды, пока камень взлетал, он какое-то время летел, пока не достиг высоты 9 метров. Такой метод решения не годится. Неравенство мы обычно решаем так. Сначала вместо знака «не меньше» пишем знак «равно» и решаем уравнение. Потом анализируем полученные корни – с какой стороны от них неравенство выполняется. У нас здесь получается квадратное уравнение, будем решать его по формулам квадратного уравнения, с помощью дискриминанта. Вот что получилось. Через 0,6 секунд после броска камень, взлетая вверх, пересек границу высоты 9 метров, и через 3 секунды, уже падая, он опять пересек эту границу. Получается, что выше 9 метров (или ровно на 9-ти метрах) камень находился 3 - 0,6 = 2,4 секунды. Пример В12-3Масса радиоактивного вещества уменьшается по закону В лаборатории получили вещество, содержащее в начальный момент времени m0 = 12 мг изотопа натрия-24, период полураспада которого Т = 15 часов. В течение скольких часов содержание натрия-24 в веществе будет превосходить 3 мг? Решение. Для упрощения заменим числами известные величины, а заодно и знак «равно» заменим на знак «больше» Получили показательное неравенство (с переменной величиной t в показателе степени). Надо его решить, блин! 2. Разделим обе части уравнения на 12 и сократим. 3. Вспомним свойство степеней. Если число в отрицательной степени, то можно его записать в виде дроби, у которой в числителе 1, а в знаменателе это число в такой же, но положительной степени. То есть Тогда получится такое шикарное выражение Между двумя частями уравнения знак равно, числители одинаковые, значит и знаменатели тоже будут равны А 4 – это два в квадрате, то есть Основания степеней равны, значит равны и показатели Ответ: 30 Пример В12-4Решение. Здесь, конечно, без мало-мальского понимания физики можно затупить. Сила тока обозначается буквой I. Из формулы (это формула закона Ома для участка цепи) видно, что сила тока зависит от двух параметров: от напряжения U и от сопротивления R. Напряжение задано в исходных данных, оно равно 220 Вольт, никакой свободы выбора для нас нет. А сопротивления можно подбирать. Если к примеру сопротивление R = 100 Ом. Тогда ток будет 220/100 = 2,2 Ампера. В условии сказано, что в цепь включен предохранитель, рассчитанный на максимальный ток 20 Ампер. Как только ток в цепи станет равен 20 Ампер, предохранитель перегорит и отключит цепь. Пока у нас 2,2 ампера, это намного меньше, чем 20, цепь продолжает работать. Оно решается довольно просто. Сначала решаем уравнение 20= 220/R Вот ролик по заданию в12 из ЕГЭ 2012 года, посмотрите, если хотите
|

