Задача В3 проверяет наше умения вычислять площади простых геометрических фигур: прямоугольника, треугольника, параллелограмма, трапеции, круга. Поэтому, прежде чем браться за задачку, надо встряхнуть в памяти свои познания в этой теме.Итак, все занют, что площадь прямоугольника - это длина (красненькая), умноженная на ширину (синенькую). На картиночке очень хорошо видно, что треугольник - это ровно половина прямоугольника. Поэтому его площадь - это длина на высоту ( у него ведь нет ширины, поэтому синенькая называется высота), а потом полученное разделить на два. Площадь параллелограмма - по картинке тоже прекрасно видно - с одной стороны треугольничек лишний (если его сравнивать с нарисованным выше прямоугольником), а с другой точно такого же треугольничка не хватает. Поэтому площадь параллелограмма равна площади прямоугольника, и также равна основанию на высоту. Только у прямоугольника высота совпадает с шириной, а у параллелограмма высоту надо специально провести - она ПЕРПЕНДИКУЛЯРНА основанию. А теперь задачка. Пример В3-1 Кто вспомнит формулу площади трапеции (это ведь трапеция)? ПЛОЩАДЬ ТРАПЕЦИИ РАВНА ПОЛУСУММЕ ОСНОВАНИЙ, УМНОЖЕННОЙ НА ВЫСОТУ. Нижнее основание 6 см (клеток, но на рисунке помечено, что одна клетка = 1 см). Верхнее 3 см. Полусумма оснований ( 6+3 ) / 2 = 9/2 = 4,5 см. Высота равна 4 см. Значит площадь равна 4,5 х 4 = 18 см. Это ответ.Но - случилось так, что мы вообще не знаем, что за такая штука ТРАПЕЦИЯ, тем более не знаем, как вычисляется ее площадь. Ничего ужасного! Из рисунка прекрасно видно, что фигура легко расчленяется на один прямоугольник 3 х 4 клетки, один треугольник (слева) 1 х 4 клетки и один треугольник (справа) 2 х 4 клетки. Площадь прямоугольника 3 х 4 = 12. Площадь левого треугольника (1 х 4)/2 = 2. Площадь правого треугольника (2 х 4)/2 = 4. Все вместе 12 + 2 + 4 = 18. Такой же ответ получили и без формулы площади трапеции. Пример В3 - 2. Найдите площадь параллелограмма ABCD Основание AB равно 2; высота (то есть ПЕРПЕНДИКУЛЯР, ОПУЩЕННЫЙ ИЗ ТОЧКИ D НА СТОРОНУ АВ) равен 4. Площадь параллелограмма равна произведению основания на высоту. 2 х 4 = 8. Это ответ. Если кто запамятовал формулу площади параллелограмма - опять-таки можно рассмотреть прямоугольничек 1 х 4 и два одинаковых треугольничка 1 х 4. Получится тоже 8. Пример В3-3. Найдите площадь трапеции
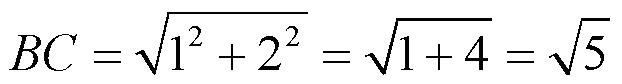
В условии задачи дан тот рисунок, что сверху. Это трапеция или, если хотите, квадрат плюс треугольник, составляющий половину квадрата. Если бы их стороны шли вдоль клеток - задачка решалась бы очень легко. Но стороны идут наискосок. Какова длина, например, стороны ВС? А это вполне себе несложно вычислить по теореме Пифагора. ВС это диагональ прямоугольника 1 х 2 или (можно и так сказать) гипотенуза прямоугольного треугольника с катетами 1 и 2. Тогда Корень из 5 не извлекается, а мы пока и не будем. А теперь поглядим внимательно: у нашего квадрата обе стороны равны ВС (естественно, иначе бы он был не квадратом, а прямоугольником), а у треугольника и основание и высота равны ВС. Поэтому, площадь квадрата Пример В3-4. Эта задачка весьма простая для тех, кто помнит формулу площади круга. Кто не помнит - надо вынуть наган и застрелиться. Площадь круга - пи эр квадрат. Есть анекдот, про некоего тупого студента, о том что колеса вагонов стучат по рельсам своим квадратом, потому что ни "пи" ни "эр" стучать не могут. По рисунку видно, что радиус 3 клетки. Поэтому В задаче требуется указывать ответ в виде S деленное на пи, поэтому ответ 9. Потренируйтесь в решении задачи В3, скачав рабочую тетрадь
|

