WEB-РЕПЕТИТОР "ПОМОГАЛЫ"

Пособий для подготовки к ЕГЭ немало. Зачем же еще одно, на нашем сайте?
Наше "кредо" таково - растолковать решения экзаменационных заданий маскимально простым языком, без ненужного углубления в дебри, с набором самых простых и общеизвестных формул - но чтобы, тем не менее, абитуриент, готовящийся по нашему репетитору, мог набрать достойный балл для поступления в ВУЗ.

ЕГЭ по математике Задача В13

Пример В13 – 1

ЕГЭ по математике Задача В13

Прежде чем браться за решение задачки, немного поразбираемся. Это так называемые ТЕКСТОВЫЕ задачи. В них словами описывается какая-то жизненная ситуация и ставится вопрос. Некоторым такие задачки даже нравятся; они напоминают народные задачки на смекалку. Как правило, они не содержат сложной математики, всяких там синусов, логарифмов, производных; для их решения достаточно знать математику в объеме семи классов. Но других людей, которые относятся к поклонникам точных и ясных формул – такие задачки повергают в уныние. В них нету формул, и не вполне понятно, по какой формуле её решать.
В этом и состоит главный смысл решения задачи В13: надо словесно описанную ситуацию ФОРМАЛИЗОВАТЬ, то есть перевести на язык математики, записать в виде понятного уравнения.

Задачи на движение

Движение, в отличие от физики, всюду равномерное, то есть такое, когда тело за одинаковые промежутки времени проходит одинаковые отрезки пути.
При равномерном движении пройденный путь в км или м обозначают буквой S, скорость в км/час или м/с обозначают буквой v, а время в часах или секундах буквой t. Всем хорошо известны такие формулы

Задачи на движение

Частенько в задачах участвует еще и река. Здесь такое правило. Есть собственная скорость лодки, катера или пловца. Иногда её называют скорость в стоячей воде. Есть скорость течения реки. Если плывёт ПО ТЕЧЕНИЮ – то собственная скорость и скорость течения складываются. Если ПРОТИВ ТЕЧЕНИЯ – то вычитаются. Ну, и достаточно, поехали к задачи Пример В13-1.

Решение: Рассуждаем так. Пусть
К (км/час) – собственная скорость катера
В (км/час) – скорость течения реки весной
Л (км/час) – скорость течения реки летом

Весна:
К+В – скорость катера по течению
К-В – скорость катера против течения

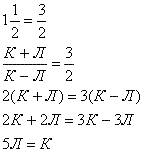
Сказано, что первое в раза больше второго. Преобразуем для удобства смешанную дробь
в неправильную ТогдаЭто вообще-то получилась как бы пропорция, у неё есть свойство – произведение средних членов равно произведению крайних, поэтому выполним вот такие преобразования

Лето:
К+Л – скорость катера по течению;
К -Л– скорость катера против течения

Сравнивая последние выражения Весны и Лета получим  

4В=5Л

В условии сказано, что летом скорость течения на 1 км/час меньше, чем весной, то есть Л = В – 1
Отсюда 4В = 5 (В – 1)
4В = 5В – 5
5 = 5В – 4В
В = 5 (км/час) Такова скорость течения реки весной, что и требовалось узнать в задачке.
Ответ: 5
Заметим, что я не использовал привычных иксов и игреков, мне больше понравились русские буквы К- катер, В – весна, Л – лето. Ну и ладно. Лишь бы вам самим было понятней. Мы ведь в бланк ЕГЭ вписываем только число, а не ход решения. Поэтому, как мы нашли ответ – никого не должно волновать!

Пример В13-2

ЕГЭ по математике Задача А13

Решение: Очень хочется тупо сложить и поделить на два. (60 + 46) / 2 = 53.
Давайте поразмыслим, может так оно и правильно…
Всю дорогу автомобиль проехал за t часов. Половину этого времени, то есть t/2 часов он ехал со скоростью 60 км/час. Какое расстояние он проехал за это время? А вот какое 60 х t/2 = 30t (км).
Другую половину времени автомобиль ехал со скоростью 46 км/час, следовательно одолел расстояние 46 х t/2 =23t.
Таким образом, вся дорога, как говорится – между пунктами А и Б  - имеет длину 30t = 23t = 53t
Автомобиль прошёл её за время t. Знаем путь, знаем время, проще пареной репы вычислить среднюю скорость. Она равна 53t / t = 53 (км/час).
Ответ: 53

Пример В13-3

ЕГЭ по математике Задача В13

Моторная лодка

Решение.  Обозначим буквой икс Х  неизвестную искомую величину – собственную скорость лодки в неподвижной воде. В единицах измерения – километрах в час (км/час).  Зная, что скорость течения реки по условию 3 км/час, выведем такие дела:
Х + 3 (км/час) – скорость лодки по течению;
Х - 3 (км/час) – скорость лодки против течения.
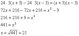
Дальше всё совсем просто. Путь в один конец составляет 24 км. На его преодоление затрачено времени:

По течению

Против течения

Против течения он шел на 20 минут (то есть на 1/3 час) больше, чем по течению. Это можно записать так: время против течения минус время по течению равно 1/3 часа

Получили уравнение, которое теперь и решаем. Находим общий знаменатель 3(х-3)(х+3). Умножаем на него каждый член нашего уравнения. Получаем такую шнягу:

Ответ: 21.

Задачи на совместную работу

Пример В13-4

ЕГЭ по математике Задача В13

Труба наполняет бассейн

Решение. Эта задача весьма напоминает задачи на движение. Только здесь вместо ПРОЙДЕННОГО ПУТИ – ОБЪЕМ РАБОТЫ (в данном случае – ёмкость баков), а также СКОРОСТЬ ВЫПОЛНЕНИЯ РАБОТЫ и ВРЕМЯ ВЫПОЛНЕНИЯ РАБОТЫ.
Итак,  обозначим буквой икс Х искомую неизвестную величину – скорость пропускания воды второй трубой. Единица измерения литр/мин.
Для второй трубы бак поменьше, и скорость пропускания воды через неё следовательно тоже поменьше. Поэтому скорость пропускания воды первой трубой на 4 литра/мин больше, она составляет х + 4 (литр/мин).

Время наполнения первого бака

Время наполнения второго бака

А в условии сказано, что баки наполняются за одно и то же время, то есть эти два выражения можно приравнять и получится вполне себе  хорошенькое уравненьице

Вот мы и сделали главное – перевели текстовое описание на математический язык, то бишь составили уравнение, которое мы умеем решать. Решаем его:

Ответ: 53 (столько литров в минуту протекает через вторую трубу)

Ролик с you tube о решении задачи В13

Назад к задаче В12 /Задача В13/ Вперед к задаче В14