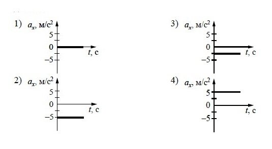
ДЕМОВАРИАНТ ЕГЭ ПО ФИЗИКЕ 2015 ГОДАДемонстрационный вариант ЕГЭ по физике 2015 года посмотреть (скачать) здесь в PDF Спецификация ЕГЭ по физике 2015 года посмотреть (скачать) здесь в PDF Кодификатор ЕГЭ по физике 2015 года посмотреть (скачать) здесь в PDF ЧАСТЬ 1 (ЗАДАЧИ 1 - 24)Ответом к заданиям является цифра, число или последовательность цифр. Как записывать ответ - посмотрите в подробной инструкции, предшествующей демоварианту. Задания первой части оцениваются 1 или 2 первичными баллами; масксимально можно набрать за первую часть 32 первичных балла. Задание 1. На рисунке приведён график зависимости проекции скорости тела Vx от времени.
Какой из указанных ниже графиков совпадает с графиком зависимости от времени проекции ускорения этого тела Ax в интервале времени от 6 с до 10 с?
Посмотреть ответ и полное решение Задание 2. На рисунке показаны силы, действующие на материальную точку. Определите модуль равнодействующей силы в заданном масштабе.
Посмотреть ответ и полное решение Задание 3. К пружине школьного динамометра подвешен груз массой 0,1 кг. При этом пружина удлинилась на 2,5 см. Определите удлинение пружины при добавлении ещё двух грузов по 0,1 кг. Посмотреть ответ и полное решение Задание 4. На неподвижный бильярдный шар налетел другой такой же шар. Налетевший шар имел до удара импульс р = 0,5 кг м/с. После удара шары разлетелись под углом 90 градусов, так, что импульс одного р1 = 0,4 кг м/с (смотри рисунок).
Каков импульс другого шара после соударения? Посмотреть ответ и полное решение Задание 5. Учитель продемонстрировал опыт по распространению волны по длинному шнуру. В один из моментов форма шнура оказалась такой, как показано на рисунке. Скорость рапространения колебаний по шнуру равна 2 м/с. Определите частоту колебаний.
Посмотреть ответ и полное решение Задание 6. Шарик, брошенный горизонтально с высоты H с начальной скоростью V0 за время t пролетел в горизонтальном направлении расстояние L (смотри рисунок).
Что произойдёт с временем полета и дальностью полета, если на этой же установке уменьшить начальную скорость шарика в 2 раза? Сопротивление воздуха пренебречь. Для каждой величины определите соответствующий характер её изменения: 1) увеличится; 2) уменьшится; 3) не изменится.Запишите в таблицу выбранные цифры для каждой физической величины. Цифры в ответе могут повторяться.
Посмотреть ответ и полное решение Задание 7. Груз, привязанный к нити, отклонили от положения равновесия и в момент t=0 отпустили из состояния покоя (смотри рисунок).
На графиках А и Б показано изменение физических величин, характеризующих движение груза после этого. Установите соответствие между графиками и физическими величинами, зависимости которых от времени эти графики могут представлять. К каждой позиции первого столбца подберите соответсвующую позицию из второго столбца.
Запишите в таблицу выбранные цифры под соответствующими буквами
Посмотреть ответ и полное решение Задание 8. Лёд при температуре 0 градусов Цельсия внесли в тёплое помещение. Что будет происходить с температурой льда до того, как он растает, и почему?
Посмотреть ответ и полное решение Задание 9. Внешние силы совершили над идеальным газом работу 300 Дж, и при этом внутренняя энергия газа увеличилась на 500 Дж. Выберите верное утверждение, характеризующее этот процесс.
Посмотреть ответ и полное решение Задание 10. Относительная влажность воздуха в сосуде, закрытом поршнем, равна 30%. Посмотреть ответ и полное решение Задание 11. Объём сосуда с идеальным газом уменьшили вдвое, выпустив половину газа и поддерживая температуру в сосуде постоянной. Как изменились при этом давление газа в сосуде и его внутренняя энергия?
Запишите в таблицу выбранные цифры для каждой физической величины.
Посмотреть ответ и полное решение Задание 12. На рисунках приведены графики А и Б двух процессов: 1–2 и 3–4, происходящих с 1 моль гелия. Графики построены в координатах V–T и p–V, где p – давление, V – объём и T – абсолютная температура газа. Установите соответствие между графиками и утверждениями, характеризующими изображённые на графиках процессы. К каждой позиции первого столбца подберите соответствующую позицию второго столбца.
Запишите в таблицу выбранные цифры под соответствующими буквами
Посмотреть ответ и полное решение Задание 13. Незаряженное металлическое тело внесли в однородное электростатическое поле, а затем разделили на части А и В (см. рисунок). Какими электрическими зарядами обладают эти части после разделения?
Посмотреть ответ и полное решение Задание 14. Электрическая цепь, состоящая из четырёх прямолинейных горизонтальных проводников (1–2, 2–3, 3–4, 4–1) и источника постоянного тока, находится в однородном магнитном поле, вектор магнитной индукции которого направлен вертикально вниз (см. рисунок, вид сверху).
Куда направлена сила Ампера, действующая на проводник 1–2?
Посмотреть ответ и полное решение Задача 15. Сопротивление каждого резистора в цепи на рисунке равно 100 Ом. Чему равно напряжение на резисторе R2 при подключении участка к источнику постоянного напряжения 12 В выводами A и B?
Посмотреть ответ и полное решение Задача 16. В какой из точек (1, 2, 3 или 4) находится изображение светящейся точки S (см. рисунок), создаваемое тонкой собирающей линзой с фокусным расстоянием F?
Посмотреть ответ и полное решение Задача 17. Частица массой m, несущая заряд q, влетает в однородное магнитное поле с индукцией B со скоростью v и движется по окружности радиусом R. Что произойдёт с радиусом орбиты и периодом обращения частицы при уменьшении скорости её движения?
Запишите в таблицу выбранные цифры для каждой физической величины.
Посмотреть ответ и полное решение Задача 18. Колебательный контур состоит из конденсатора ёмкостью C и катушки индуктивностью L. При электромагнитных колебаниях, происходящих в этом контуре, максимальный заряд пластины конденсатора равен q. Установите соответствие между физическими величинами и формулами, по которым их можно рассчитать. Сопротивлением контура пренебречь.
Запишите в таблицу выбранные цифры под соответствующими буквами
Посмотреть ответ и полное решение Задача 19. На рисунке изображены схемы четырёх атомов, соответствующие модели атома Резерфорда. Чёрными точками обозначены электроны. Какая схема соответствует атому
Посмотреть ответ и полное решение Задача 20. Посмотреть ответ и полное решение Задача 21. Посмотреть ответ и полное решение Задача 22. Монохроматический свет с энергией фотонов Eф падает на поверхность металла, вызывая фотоэффект. Напряжение, при котором фототок прекращается, равно Uзап. Как изменятся модуль запирающего напряжения Uзап и длина волны, соответствующая «красной границе» фотоэффекта, если энергия падающих фотонов Eф увеличится?
Запишите в таблицу выбранные цифры для каждой физической величины.
Посмотреть ответ и полное решение Задача 23. При измерении объёма тела его погрузили в мензурку (см. рисунок). Погрешность измерения объёма при помощи данной мензурки равна её цене деления.
Посмотреть ответ и полное решение Задача 24. На рис. 1 приведена схема установки, с помощью которой исследовалась зависимость напряжения на реостате от величины протекающего тока при движении ползунка реостата справа налево. На рис. 2 приведены графики, построенные по результатам измерений для двух разных источников напряжения.
Выберите два утверждения, соответствующих результатам этих опытов, и запишите в таблицу цифры, под которыми указаны эти утверждения. Вольтметр считать идеальным.
|
|


























