WEB-РЕПЕТИТОР "ПОМОГАЛЫ"

Пособий для подготовки к ЕГЭ немало. Зачем же еще одно, на нашем сайте?
Наше "кредо" таково - растолковать решения экзаменационных заданий маскимально простым языком, без ненужного углубления в дебри, с набором самых простых и общеизвестных формул - но чтобы, тем не менее, абитуриент, готовящийся по нашему репетитору, мог набрать достойный балл для поступления в ВУЗ.

ЕГЭ по математике Задача В9

Пример В9-1

ЕГЭ по математике Задача В9

Решение. Въедем в тему. Задачка В9 – это задачка на простейшую стереометрию, объемные трехмерные геометрические тела, типа призма, пирамида, конус, шар. В частности тут – пирамида. Пирамиды – это такие тела, как в Египте. Снизу  у них основание, а сверху – вершина - одна точка S. Основанием может быть любой многоугольник: треугольник, четырехугольник, пятиугольник и т.п. Наша пирамида называется в условии четырехугольной, то есть её основание – четырехугольник  ABCD. Кроме того, сказано, что она ПРАВИЛЬНАЯ. Правильным называется такой многоугольник, у которого все стороны и все углы между собой равны. Правильный четырехугольник – это квадрат. Про квадрат нам отлично известно, что его диагонали AC и DB равны и делятся пополам в точке пересечения, то есть точка их пересечения – это как раз центр квадрата, в который и падает высота SO, опущенная из вершины S. А высота – это вообще-то перпендикуляр к основанию, то есть угол SOB, например, прямой.
Рассмотрим-ка этот прямоугольный треугольник SOB. Катет SO дан по условию, он = 4.Катет OB – это половина диагонали = 3. Гипотенузу SB находим по теореме Пифагора.

ЕГЭ по математике Задача В9

ЕГЭ по математике Задача В9

Ответ 5

Пример В9-2

В правильной треугольной пирамиде SABC K- середина ребра BC, S – вершина. Известно, что AB = 4,  SK = 21. Найдите площадь боковой поверхности.

ЕГЭ по математике Задача В9

Решение. Боковая поверхность состоит из трех треугольников. Поскольку пирамида правильная, то все эти треугольники равны. Таким образом, задача сводится к тому, чтобы найти площадь одного из треугольников боковой поверхности, например BSC, и умножить на 3. Площадь треугольника, как всем пре-е-е-красно известно, равна половине произведения основания на высоту. Основание – это BC. Оно вообще-то не дано, но дана другая сторона треугольника АВ = 4. А из того, что пирамида правильная, следует, что все стороны треугольника АВС между собой равны. То есть ВС = 4. Дана еще медиана SK. МЕДИАНА – это такая линия в треугольнике, которая соединяет вершину с СЕРЕДИНОЙ противоположной стороны. А из того, что пирамида правильная, следует, что SB = SC, то есть треугольник равнобедренный. Как всем пре-е-е-красно известно в равнобедренном треугольнике МЕДИАНА является одновременно и ВЫСОТОЙ (то есть перпендикулярна к основанию). Тогда

ЕГЭ по математике Задача В9

А боковая поверхность пирамиды составит 3 по 42 = 126
Ответ: 126

Пример В9-3

В сосуд, имеющий форму конуса, налили 25 мл жидкости до половины высоты сосуда. Сколько мл жидкости нужно долить, чтобы заполнить его доверху?

ЕГЭ по математике. Задача В9

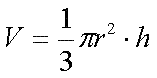
Решение. Конус, так-то, весьма похож на пирамиду, только в основании его не многоугольник, а круг, и вообще он весь круглый. Понятно, что в дано задачке нужно знать формулу для вычисления объема конуса.
Объем конус равен 1/3 произведения площади основания на высоту. А поскольку в основании круг, то вспомним заодно и площадь круга. Площадь круга равна пи эр квадрат – произведению числа пи на квадрат радиуса круга.
Заметим еще такую довольно очевидную фишку.

ЕГЭ по математике Задача В9

Если в полном конуса высота будет в два раза больше, чем когда он был налит до половины, то и радиус его в верхней части будет в два раза больше радиуса середины. Это вытекает хотя бы из подобия красненьких треугольников.
Получается, что объем налитого до половины конуса равен

ЕГЭ по математике Задача В9

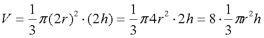
А объем полного конуса, у которого и радиус и высота в два раза длиннее

ЕГЭ по математике Задача В9

Он в 8 раз больше. То есть, в налитом до половины поместилось 25 мл, а в полный 25 умножить на 8 = 200 мл.
Правда, не торопитесь с ответом. В условии спрашивают, сколько надо ДОБАВИТЬ? 200 – 25 (уже налито) = 175
Ответ: 175

Пример В9 – 4

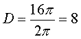
Площадь боковой поверхности цилиндра равна 16пи, а высота 2. Найдите диаметр основания

ЕГЭ по математике Развертка цилиндра

Решение: Вообразим развернутый цилиндр, типа банку от сгущенки, у которой донышки отрезаны, а боковая поверхность развернута и распрямлена. Как она выглядит? Она выглядит в форме прямоугольника. Высота этого прямоугольника – это высота банки, иначе говоря, высота цилиндра = 2. А длина этого прямоугольника равна ДЛИНЕ ОКРУЖНОСТИ ОСНОВАНИЯ. Каждому пре-е-екрасно известно, что длина окружности равна «два пи эр» или «пи дэ»

ЕГЭ по математике Длина окружности

Таким образом

ЕГЭ по математике Задача В9

Откуда

Задача В9

Ответ 8

Пример В9 – 5

ЕГЭ по математике

Решение. Составители задачки проверяют наше знание теоремы о ТРЕХ МЕДИАНАХ ТРЕУГОЛЬНИКА.  Теорема эта формулируется так: все три медианы треугольника обязательно пересекаются в одной точке и в точке пересечения делятся в отношении 2:1.

ЕГЭ по математике

А поскольку треугольник в основании – ПРАВИЛЬНЫЙ, то медианы являются также и высотами, и биссектрисами, и вообще точка их пересечения – это центр треугольника. И через этот же центр проходит зелененькая линия – это данная в условии линия МК, потому что она тоже подчиняется соотношению 2:1. Получается, что высота пирамиды (которая по определению перпендикулярна плоскости основания) лежит как раз в зелененькой плоскости.  Значит зелененькая плоскость и плоскость основания  перпендикулярны, угол между ними равен 90 градусов.
Ответ: 90

 

Пример В9 - 6

Диагональ правильной четырехугольной призмы наклонена к основанию под углом 30 градусов. Боковое ребро = 3. Найдите диагональ призмы.

ЕГЭ по математике Задача В9

Решение. В треугольнике АСС1 угол С – прямой, угол А равен 30 градусов. Есть теорема: Катет, лежащий против угла в 30 градусов равен половине гипотенузы. Отсюда диагональ призмы, она же – гипотенуза треугольника в два раза больше бокового ребра, то есть равна 6.
Ответ: 6.

Вот ролик с Ютуба о решении задачки В из демоварианта 2013 года

Назад к задаче В8 /Задача В9/ Вперед к задаче В10