 |
Демонстрационный вариант контрольно-измерительных материалов единого государственного экзамена 2014 года по математике
Отличная новость: в 2014 году НЕТ НИКАКИХ ( ! ) изменений в сравнении с 2013 годом, а в 13 году не было изменений от 2012 года. Это значит вполне себе подходят все книги, пособия, решебники( в том числе и наш сайт), которые разрабатывались для ЕГЭ 12 и 13 годов. С чем вас и поздравляем.
Демовариант ЕГЭ-2014 можно посмотреть в формате PDF
или СКАЧАТЬ
|
<<< Назад в начало - Это окончание демоварианта ЕГЭ - 2014

Решения части 2 приведены прямо в демоварианте, их самим решать не надо. Но сначала приведено такое разъяснение.
Решения и критерии оценивания заданий части 2
Количество баллов, выставляемых за выполнение заданий части 2 зависит от полноты решения и правильности ответа.
Общие требования к выполнению заданий с развёрнутым ответом: решение должно быть математически грамотным, полным, в частности, все возможные случаи должны быть рассмотрены. Методы решения, формы его записи и формы записи ответа могут быть разными. За решение, в котором обоснованно получен правильный ответ, выставляется максимальное число баллов. Правильный ответ при отсутствии текста решения оценивается в 0 баллов.
Эксперты проверяют только математическое содержание представленного решения, а особенности записи не учитывают.
В критериях оценивания конкретных заданий содержатся общие требования к выставлению баллов.
При выполнении задания можно использовать без доказательства и ссылок любые математические факты, содержащиеся в учебниках и учебных пособиях, входящих в Федеральный перечень учебников, рекомендованных (допущенных) Министерством образования и науки Российской Федерации.


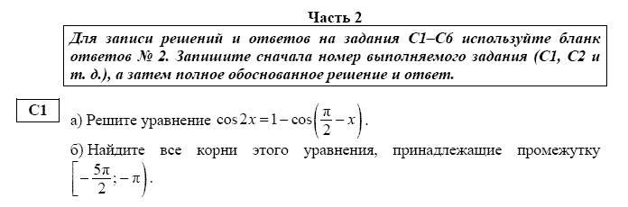
А вот решение


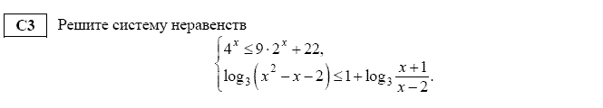
Решение задания С3


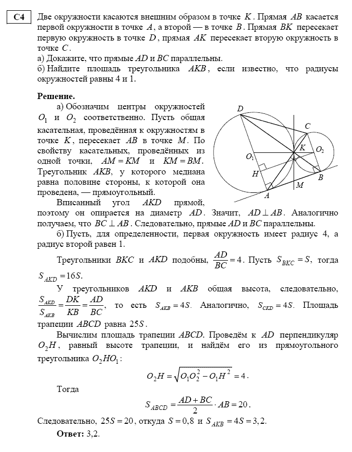
И - пожалуйста - решение задачи С4



Решение



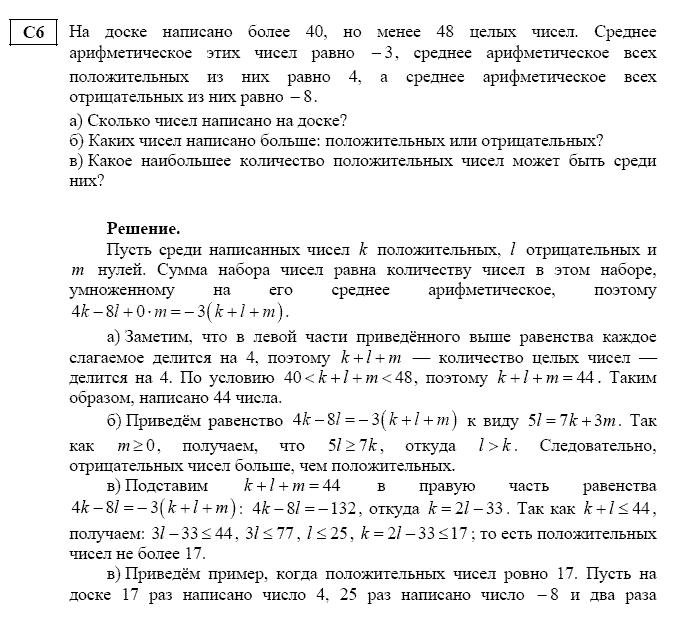
Решение задачи С6


|