|
Эх, силушки богатырские!1. Сколько бывает разных видов сил?
Сила тяжести – это сила, с которой Земля притягивает к себе все тела. Почему это происходит – внятно никто не объяснил. А как это происходит – вполне понятно и привычно. Сила тяжести равна
где g - ускорение свободного падения, оно равно примерно 9,81 м/с2, при решении задач ЕГЭ его надо принимать равным 10 м/с2.
А направление силы тяжести перпендикулярно к поверхности Земли, если считать, что Земля плоская, а чтобы быть совсем точным – к геометрическому центру Земного шара. Под действием этой силы все тела равноускоренно падают вниз. Сила упругости возникает при деформации тела (изменении его формы и размеров). Природа силы упругости – в межмолекулярных силах притяжения и отталкивания. Поэтому она всегда направлена против сил, вызывающих деформацию тела. Наконец, сила трения возникает при движении соприкасающихся тел относительно друг друга. Природа сил трения – неровности поверхностей и межмолекулярное притяжение. Сила трения всегда направлена в сторону, противоположную движению. 2. Взвестьте-ка мне 10 килоньютонов колбаски…
Так что же, получается, что при взвешивании мы находим силу тяжести? Или всё-таки вес? Или, может быть, массу тела? Это важно, давайте разберемся, в этих трех понятиях очень часто путаются. Масса m раньше называлась "КОЛИЧЕСТВО ВЕЩЕСТВА" За единицу массы взят 1 литр идеально чистой воды. Его масса равна ровно 1 килограмм. На основе этого эталона изготавливают гирьки, в том числе кратной и дробной массы.. Массу любого тела можно найти с помощью рычажных весов, уравновешивая их эталонными гирьками.
Масса - такое свойство тела, которое оно никогда не утрачивает. Измеряй хоть в Европе, хоть в Африке, хоть на Луне, хоть на Венере, хоть горячее, хоть холодное тело, хоть неподвижное, хоть движущееся - у него всегда будет одна и та же масса. Сила тяжести (или гравитации) - это сила, с которой тело притягивается Земным шаром. Сила тяжести находится по формуле
измеряется, как и всякая другая сила, в Ньютонах. Вес тела Р - это сила, с которой тело, находящееся под действием силы тяжести, действует на подставку или подвес. А коль скоро вес - это СИЛА, то как всякая другая сила вес измеряется в Ньютонах. Обращаясь к торговцу, пользующемуся пружинными весами, правильней бы сказать: «Взвесьте мне 10 килоньютонов колбаски». С такой силой кусок колбаски массой 1 кг будет действовать на крюк пружинных весов. Вес, как и сила тяжести, находится по формуле
Исторически сложилось, что торговцы не любят измерять вес в Ньютонах. Они, гады, внесли путаницу в наши неокрепшие детские умы. Они на свои весы нанесли неправильные деления - вместо 10, 20, 30 килоньютонов они написали 1, 2, 3 килограмма. И мы порой думаем, что они измеряют массу... Нет, нет и нет! Они измеряют ВЕС продуктов, то есть силу, с которой продукты действуют на ихние весы. А есть ли разница между понятиями ВЕС и СИЛА ТЯЖЕСТИ? Разница есть. Первое: эти силы приложены к разным телам. Сила тяжести приложена собственно к телу, которое рассматривается в задаче. А вес – приложен к весам, опоре, подвеске, тросу – к тому, на чём висит или на что опирается наше тело. Второе – эти силы имеют разную природу. Сила тяжести вызвана гравитацией, притяжением Земли, а вес – это по сути сила упругости крюка или подставки. Третье, и, пожалуй, самое существенное отличие: сила тяжести в данной точке Земного шара всегда постоянна. Вес же зависит от того, неподвижна опора (подвес) или движется. 3. Можно ли "полетать" в невесомости, не отправлясь в космос? Если те же пружинные весы (динамометр) двигать вверх с ускорением а, то их показание (то есть вес) будет равен
Если двигать вниз, то вес будет равен
Вот на картинке показано, что гиря имевшая вес 3 кг при неподвижных весах, имеет вес 2 кг при движении весов вниз (б) и 4 кг при движении весов вверх. (Здесь, заметим, весы торговые, проградуированы в единицах массы; на самом деле вес, конечно, изменяется не в килограммах, а в Ньютонах).
Что будет, если весы отпустить и они станут свободно падать – двигаться вниз с ускорением свободного падения? По формуле
вес тела станет равным нулю! Такое состояние называют невесомостью. Студенты обычно говорят: «Ну нет, это только весы ничего не показывают, а на самом то деле вес остался». Как же остался? Вес – это и есть сила воздействия на весы. Масса осталась, конечно, сила тяжести тоже осталась, а вес равен нулю.
4. Упругие силы
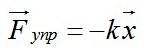
Пружины в 17 веке тщательно изучал англичанин Роберт Гук, он и вывел закон зависимости силы упругости от деформации, носящий его имя.
Буквой х обозначена деформация тела, буквой k – коэффициент упругости. Совершенно понятно, что пружины могут быть толстые и тонкие, из разных материалов, и эти их особенности как раз и характеризует коэффициент упругости. Иногда, вместо «коэффициент упругости» применяют термин «жесткость пружины». Знак минус говорит о том, что сила упругости направлена в сторону, противоположную деформации. Одним из проявлений сил упругости является сила НОРМАЛЬНОЙ РЕАКЦИИ ОПОРЫ . Вот лежит книга на столе. На неё действует сила тяжести . Казалось бы, под действием этой силы книга, выполняя второй закон Ньютона, должна равноускоренно двигаться вниз. А нет, она лежит неподвижно. Почему? Потому что от стола на неё действует сила N, равная силе тяжести, но противоположно направленная.
По природе своей сила нормальной реакции –это сила упругости. Молекулы, из которых сделана поверхность стола, сжимают, как пружину, сдвигают ближе друг к другу, чему они активно сопротивляются. Правда, в отличие от пружины, деформация стола очень мала, на глаз совершенно незаметна. И потому физики вводят в обиход условное понятие - АБСОЛЮТНО ТВЕРДОЕ ТЕЛО. Таковым в данном опыте является стол. Считают, что он совсем нисколько не деформируется, но при этом как пружина обладает силой упругости, в точности уравновешивающей силу тяжести.По направлению – сила N всегда перпендикулярна плоскости опоры. Перпендикуляр к плоскости опоры называется НОРМАЛЬ, поэтому данную силу называют НОРМАЛЬНОЙ. Аналогично вводят понятие АБСОЛЮТНО НЕРАСТЯЖИМОЙ НИТИ. Считается, что нить, на которой подвешан груз не деформируется, но тем не менее обладает силой упругости Т, которую так и называют СИЛА НАТЯЖЕНИЯ НИТИ.
5. Что можно сказать про силу трения?
На этой картинке из учебника Ландсберга показан опыт. Некую круглую штучку, типа хоккейной шайбы, зацепили динамометром и потянули вправо. На динамометре уже сколько-то Ньютонов, а шайба неподвижна. Это значит, что в сторону, противоположную возможному движению шайбы действует такая же по величине сила f. Это и есть сила трения. Потянули шайбу вперед – сила трения действует взад. Всё равно против возможного движения. Потянули посильнее, а шайба всё лежит неподвижно. Значит сила трения увеличилась. Сила трения заставляет наше тело оставаться в покое, поэтому её называют СИЛА ТРЕНИЯ ПОКОЯ. Наконец, при какой-то достаточной силе тяги тело сорвётся с места и начнёт движение. За миг до начала движения сила трения покоя имела максимальное значение. Когда говорят о силе трения покоя, подразумевают именно её максимальное значение. Дальше, когда тело уже начало двигаться, тоже есть сила трения – её называют силой трения скольжения. Она, как правило, бывает меньше силы трения покоя.
Причина силы трения – зацепление микронеровностей и межмолекулярное притяжение. С первым бороться можно – гладко отшлифованное тело имеет меньшую силу трения. Со вторым нельзя, поэтому полностью исключить трение невозможно. Интересно, что жидкости не имеют силы трения покоя. Стотонную баржу никто не в состоянии сдвинуть на суше, а на воде вполне можно, бурлаки даже таскали баржи на лямках. Поэтому внесение жидкой смазки между соприкасающимися поверхностями существенно уменьшает силу трения.
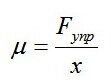
где греческой буквой "мю" обозначен коэффициент трения, а N - сила нормальной реакции. Вообще, конечно, логичнее бы говорить не о силе реакции, а о силе прижатия трущихся тел. Ведь чем сильнее прижаты трущиеся тела, тем лучше зацепляются шероховатости. Но какова природа силы прижатия? Эта сила прижатия может быть силой тяжести, как в случае с хоккейной шайбой на нашей картинке; может быть усилием сжатого воздуха, как в тормозных системах поездов; давлением масла, пружины, электромагнита и так далее. В любом случае она породит по третьему закону Ньютона ответную силу реакции N, равную по модулю, но противоположно направленную. Поэтому для универсальности мы и говорим о силе реакции. Да, сила реакции направлена в другую сторону, но мы ведь и формулу трения записали не в векторном виде. Сила трения не совпадает по направлению ни с силой прижатия, ни с силой реакции. Она направлена против движения (или ещё не начавшегося, возможного движения, если говорить о трении покоя). Коэффициент трения покоя зависит от материала трущихся поверхностей, чистоты их обработки. Его значение для разных материалов можно найти в таблице, либо оно дается в условиях задачи. Вот еще интересная задачка. Пытаемся сдвинуть с места лежащий на столе кирпич. Когда будет больше сила трения: когда он лежит плашмя, поставлен на узкую грань или поставлен на торец?
Иначе говоря – зависит ли сила трения от площади трущихся тел? При том же самом весе кирпича. Нет, не зависит. Это немного странно, казалось бы, больше площадь – больше зацепляющихся неровностей… Но нет, тогда удельное нажатие на единицу площади станет меньше, и тела, получается, прижмутся не так крепко. Доказано – не зависит. Сила трения скольжения при движении (не трение покоя) существенно зависит от скорости. Жидкости и газы, как уже было сказано, не имеют трения покоя, то сопротивляются передвижению тел в этих средах. Трение для них так и называется – сопротивлением. Колеса, валики, подшипники серьёзно улучшают движения. Но и они обладают трением, так называемым трением качения. На картинке слева показано, как катящееся колёсико тянут через динамометр. Динамометр показывает не нуль, а какую-то силу. Следовательно – трение качения есть. Оно, конечно, значительно меньше, чем трение скольжения. Поэтому и говорят, что изобретение колеса стало гигантским скачком в прогрессе человечества.
Не следует думать, что трение всегда мешает движению и всегда вредно. Трение же и способствует движению, без трения многое не могло бы двигаться. Почему мы ходим? Потому что подошвами своих башмаков отталкиваемся от земли, благодаря трению между башмаками и землей. Вспомните, как непросто идти в гололёд! Когда изобрели первый паровоз, не понимали, что гладкие колёса могут отталкиваться от гладких рельсов, подобно тому, как лошадь коваными копытами отталкивается от дороги. Поэтому первый паровоз снабдили специальными «толчковыми ногами».
Шагающий паровоз Сейчас локомотивы отталкиваются от рельсов колёсами, именно благодаря трению, но с этой целью их делают очень тяжелыми, чтобы прижатие колес к рельсам было значительным. Например, электровоз ВЛ10 весит 182 тонны. Позднее был выпущен электровоз ВЛ10у. Эта буква «у» означает не улучшенный, не универсальный, а всего лишь «утяжелённый». Он весит 200 тонн. И, благодаря этому, может без пробуксовки колёс тянуть более тяжёлые поезда. 6. Несколько заданий из книги Грибова Решение. Такое нередко встречается в заданиях ЕГЭ – чёртова куча лишней информации! Мы знаем твёрдо – сила тяжести равна
Хоть тело лежит, хоть висит, хоть летит, хоть едет – всё несущественно. Имеет значение только масса и ускорение свободного падения, которое при выполнении заданий ЕГЭ надо брать равным 10. Массу, данную в граммах, надо перевести в единицы системы СИ, в килограммы, это будет 0,1 кг. Умножаем на 10, получаем 1 Ньютон. Правильный ответ № 3. Пример 2 задания А3
Пример-3 задания А3 Решение. Жесткость, она же, как мы говорили, коэффициент упругости. Из формулы закона Гука найдём
То есть жесткость обратно пропорциональна удлинению. Если первая пружина удлинилась больше, значит у неё жесткость меньше. А у второй жесткость в два раза больше. Правильный ответ № 4. Пример 4 задания А3 Решение. Сила трения прямо пропорциональна силе нормальной реакции, которая в свою очередь равна силе тяжести, которая в свою очередь прямо пропорциональна массе. При уменьшении массы в 5 раз сила трения тоже уменьшится в 5 раз и станет 10 : 5 = 2. Правильный ответ № 2.
<<< Назад I Вперед >>> |


























