|
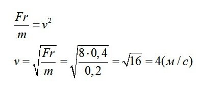
Задача А22. Движение тел по круговой траекторииПример 1 (Из пособия Монастырского) Варианты ответа: 1) 2 м/с; 2) 4 м/с; 3) 8 м/с; 4) 16 м/с. Решение. Это - самая простая-препростая задачка на движение тела по круговой траектории. Напомним, что когда частица (тело) движется по окружности с постоянной скоростью - её движение тем не менее РАВНОУСКОРЕННОЕ. На это тело постоянно действует ускорение. Только это ускорение изменяет скорость не по величине, а по направлению. Это ускорение называют ЦЕНТРОСТРЕМИТЕЛЬНЫМ. Оно направлено по радиусу к центру окружности. Это ускорение зависит от скорости движения и от радиуса описываемой окружности. Оно находится по формуле
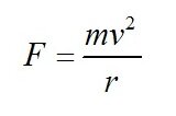
Но согласно второму законую Ньютона причиной любого ускорения является сила. Чтобы придать движущемуся телу центростремительное ускорения на него обязательно должна действовать сила, направленная в ту же сторону - по радиусу к центру окружности. Что это за сила, какова её природа - об этом будет в слудующих задачках. А в данной задачке просто сказано, что сила есть, и всё. Второй закон Ньютона записывается в виде формулы так:
И в первой формуле и во второй речь идёт об одном и том же ускорении. Поэтому справедливо будет записать так:
Запомним эту выведенную нами формулу, она пригодится для решения всех задач на движение по окружности.
Правильный ответ № 2. Пример 2 (Грибов) Варианты ответа: 1) 25 м; 2) 50 м; 3) 100 м; 4) 250 м Решение. Данная задача принципиально не отличается от предыдущей. Только в предыдущей центростремительное ускорение создается неизвестной непонятной силой, а в этой задаче автомобилю не даёт улететь с дороги СИЛА ТРЕНИЯ между шинами автомобиля и дорогой. Именно она направлена внутрь кривой по радиусу, именно она порождает центростремительное ускорение. Чему равна сила трения?
Сила нормальной реакции N численно равна весу автомобилиля, который в свою очередь равен силе тяжести
Тогда получаются такие преобразования
Правильный ответ № 1. Эта задачка, которую мы только что решили, может быть сформулирована так.
Есть вращающийся диск, есть кубик с данной массой. Кубик не улетает по инерции с диска благодаря силе трения, которая равна ma и создает центростремительное ускорение. Дальше задачка может иметь замысловатое описание (типа, это дети вертятся на карусели), может требоваться найти скорость вращения диска, радиус диска, массу груза, коэффициент трения. Но принципиально ничего не меняется; такую задачку вы с лёгкостью раскусите. Если на дике грузик будет удерживаться не на счет силы трения, а например за счет силы уругости пружины или нити, закрепленной на центральной оси, а второй конец привязан к грузу. Тогда опять-таки ничего принципиально не меняется, просто центростремительное ускорение создается силой уроугости пружины или нити. Интересно, что так же движется по круговой траектории и поезд. Вот мы нашли небольшое описание движения поезда, приводим его здесь.
Колесо локомотива или вагона имеет важную деталь – реборду (франц. reborde – гребень, то есть выступающая часть обода колеса), которая нужна, чтобы вагон не сошёл с рельсов на повороте. В момент, когда колесо входит на закругление, оно продолжает движение в прежнем направлении, действуя на рельс сбоку ребордой, которая при этом деформируется. В результате возникает «боковая» сила упругости Fупр. Эта сила и заставляет вагон поворачивать, то есть двигаться по рельсам окружности. В отсутствии реборды эта сила не возникала бы, и вагон сошёл бы с рельсов. Именно сила упругости реборды вызывает центростремительное ускорение вагона. Но наряду с силой упругости реборды, возникает и сила трения реборды о рельс. При движении по прямой этого касания нет, и сила трения уравновешивается силой тяги локомотива или предыдущего вагона. Хорошее описание, но на самом правом рисуночке - "косяк", неприемлемый для сайта pomogala. Реборда или гребень находится не с наружной, а с внутренней стороны рельсов. Да и сила упругости давит не от колеса на рельс, а от рельса на колесо. Встречаются задачи на движение по круговой траектории, в которых фигурируют велосипедист или конькобежец.
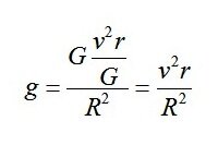
Здесь центростремительной ускорение создается силой, которая является суммой сил тяжести веловипедиста и реакции опоры, которая направлена под некоторым углом. Ну и разберем задачку на Закон всемирного тяготения. Варианты ответа: 1) 2500 км; 2) 3400 км; 3) 3100 км; 4) 2800 км Решение: Большими буквами M и R обозначим массу и радиус планеты. Маленькими буквами m и r обозначим массу спутника и радиус его орбиты. Спутник летает почему? Потому что центростремительное ускорение создает сила всемирного тяготения. И эта сила, как во всех других примерах может быть найдена из формулы
То есть она будет равна
Но силу тяготения можно выразить и через закон всемирного тяготения
Можно составить уранение и определить из него массу планеты
Ускорение свободного падения на поверхности планеты вычисляется по формуле
Подставим сюда М
В этой формуле всё дано, а R требуется найти. Так и сделаем
Правильный ответ № 2. <<< Назад I Вперед >>> |




















