|
14. Ну, здравствуй, баба ЕГЭ!Физика такой предмет, что нельзя ограничиться только теорией. Обязательно нужно порешать задачки, как в матемаше… Задачки позволяют глубже просечь теорию и вообще суть физических законов. Поэтому, если вы только прочитали параграф, а задачки в лучшем случае бегло просмотрели – это не учёба, а фигня на постном масле! В нашей книжке мы к задачкам будем подходить внимательно и уважительно.
Пример 1-1 задания А1 (взято из демоварианта 2014 года)
Варианты ответа: 1) 50 м; 2) 100 м; 3) 200 м; 4) 250 м Решение. Это – график скорости. Пройденный путь по графику скорости мы находили, как площадь фигуры, которую график образует с осью времени. В условии спрашивается, сколько прошёл автомобиль за 30 секунд. По графику видно, что от 0 до 10 секунд было равноускоренное движение (скорость повысилась тоже от 0 до 10 м/с), а затем от 10 до 30 секунд было равномерное движение с постоянной скоростью 10 м/с. Площадь, которую требуется найти, состоит из площади треугольника одна на две клетки, и площади прямоугольника две на две клетки. Правда, у нас не в клетках, а в метрах и секундах. Поэтому, площадь треугольника Всего, значит, 250 метров. Правильный ответ №4.
Варианты ответа: 1) 10 м/с; 2) 20 м/с; 3) 25 м/с; 4) 40 м/с Решение. Это – графики пути, про них мы тоже говорили. По графику пути легко найти путь, пройденный телом, за любой промежуток времени. Возьмём на оси t 4 секунды и восстановим от этой точки перпендикуляр до пересечения с каждым графиком. С графиком 1 пересечётся в точке S = 80 м, значит, скорость первого тела 80/4 = 20 м/с. С графиком 2 пересечётся в точке S = 120 м, значит скорость второго тела 120/4 = 30 м/с. Разность скоростей 10 м/с, верен вариант ответа №1. Пример1- 3 задания А1 (взято из демоварианта 2012 года)
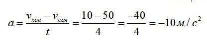
Варианты ответа: Решение. Найдем по графику, что в момент времени 0 секунд скорость тела была 50 м/с. А в момент времени 4 секунды 10 м/с. То есть за 4 секунды скорость изменилась на 40 м/с. Ускорение – это отношение изменения скорости к промежутку времени, в течение которого это изменение произошло.
то получили бы отрицательную величину ускорения. Действительно, здесь движение равнозамедленное. И на графике это видно – с течением времени скорость уменьшается. Но в условии требуют указать модуль, то есть без учёта знака. Пример 1-4 задания А1 (взято из пособия «В.А.Грибов ЕГЭ – 2014») Варианты ответа: 1) 8 м/с; 2) 10 м/с; 3) 4 м/с; 4) 2 м/с Решение. Решаем по формулеПример 1-5 задания А2 (взято из пособия «В.А.Грибов ЕГЭ – 2014») Варианты ответа: 1) 40 м; 2) 80 м; 3) 160 м; 4) 500 м Решение. Данная задачка – на свободное падение тел (оно свободное, потому что сопротивлением воздуха нам велят пренебречь). Свободное падение тел – равноускоренное. Дано время этого движения, надо найти пройденный путь.
Но неизвестно ускорение? А нет – известно! Все тела падают с ускорением свободного падения, которое в ЕГЭ рекомендуют принимать равным 10 м/с2 .
Правильный ответ № 2. <<< Назад I Вперед >>> |





а площадь прямоугольника 





