|

"Равномерно" ли ездят поезда?
8. Тайна «чёрного ящика»
Причину авиакатастроф расследуют, изучая содержимое «черных ящиков». На локомотиве, тянущем наш поезд, тоже есть своего рода «чёрный ящик» - это самопишущий локомотивный скоростемер.
 
Так выглядит локомотивный скоростемер и его диаграммная лента
Специальный карандашик вычерчивает на бумажной ленте тот же самый график скорости (розовая линия внизу). Но она отнюдь не прямая, параллельная оси времени, нет! Она вначале была на отметке около 80 км/час, затем резко снизилась до нуля (поезд остановился), потом вновь разогнался до 70 км/час, опять притормозил и остановился, снова тронулся, но теперь уже ехал не более пятидесяти… Чаще всего тела движутся не с постоянной, а с переменной скоростью. Видите – скоростемер на картинке показывает скорость 32 км/час? Что это за скорость? Это – скорость в данный момент времени. Через несколько секунд она будет другая. Но именно эта скорость – реальная, а не умозрительная, именно её показывают скоростемеры и спидометры, именно за неё штрафуют ГИБДД-шники и лишают премии машиниста.
9. Как найти пройденный путь при неравномерном движении?
Если графически - так же, как и при равномерном. Это площадь заштрихованной фигуры на графике скорости, которая образована линией графика и осью времени.

Другой вопрос – а как, собственно, вычислить площадь такой замысловатой фигуры? На рисунках справа показано, что с меньшей или большей точностью её можно заменить суммой прямоугольничков. А кто знаком с основами интегрального исчисления – тот знает, что эта фигура называется криволинейной трапецией и точная площадь её находится с помощью определенного интеграла.
10. Как найти реальную скорость по формуле?
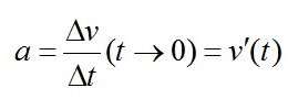
Что такое «момент времени»? Это очень-очень маленький промежуток времени, стремящийся к нулю. Обозначим его . За этот промежуток тело всёж-таки успеет пройти какой-то очень-очень маленький отрезок пути . Тогда реальная скорость в данный момент времени будет

Эту скорость иногда называют «мгновенная скорость» или «скорость в данный момент времени». Мы её будем называть просто СКОРОСТЬ. Потому что это – реальная скорость, которую можно измерить при движении тела.
Собственно говоря, равномерное движение – это лишь частный случай движения вообще. Такой, что в каждый момент движения реальная скорость одна и та же. Поэтому приведённая формула , определяющая скорость, годится и для равномерного движения.
Те, кто не спал на школьных уроках математики, сразу заметят: «Точно так же вводится понятие производной!» Вы правы. Скорость – это производная пути по времени. Кто запишет так
(Формула №2)
будет вообще молодец. Честно сказать, Ньютон для того и придумал производные, чтобы корректно сформулировать понятие скорости неравномерного движения.
11. Что быстрее разгоняется: поезд, болид «формулы-1» или пуля в стволе?
Вероятно, пуля… А во сколько раз пуля разгоняется быстрее поезда? Здесь уже напрашивается введение нового физического понятия, которое показывает, как быстро растёт скорость при разгоне. Это понятие - УСКОРЕНИЕ.
Допустим, поезд отошёл от вокзала. Через 1 секунду его скорость была 2 м/с. Через 2 секунды 4 м/с. Через 3 секунды 6 м/с. И так далее. Движение поезда было ускоренным. Причём, заметим, что за каждую секунду скорость прирастала на одну и ту же величину – на 2 м/с. Такое движение мы назовём равноускоренным. Ускорением при равноускоренном движении называют отношение изменения скорости к промежутку времени, в течение которого это изменение произошло.
(Формула №3)
это и есть ускорение. Интересна единица измерения ускорения: в числителе скорость, м/с, в знаменателе время, с.
Поэтому

ускорение измеряют в метрах на секунду квадратную.
А что, если поезд не ускоряется, а замедляется? Да, иногда такое движение называют равнозамедленным. Конечная скорость будет меньше, чем начальная, в числителе формулы №3 выйдет отрицательное число, и ускорение будет отрицательным. Легко вывести такую закономерность:
а > 0 - движение равноускоренное;
а < 0 - движение равнозамедленное;
а = 0 – движение равномерное.
Поэтому принято говорить не равнозамедленное движение, а равноускоренное с отрицательным ускорением.
12. Две задачки на разгон
Итак, тело (пусть поезд) движется равноускоренно. Любопытно было бы знать:
- Какую оно разовьёт скорость спустя t секунд после начала разгона?
- Какой за это время оно преодолеет путь?
На первый вопрос можно ответить, если выполнить преобразования последней формулы.

Например, наш поезд начал разгоняться с нулевой начальной скорости с ускорением 2 м/с2 . Какую скорость он разовьёт через 10 секунд?

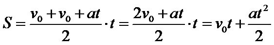
На второй вопрос ответить сложнее. Придётся прибегнуть к графическому способу. Построим график скорости (в осях v и t) для равноускоренного движения. Получится вот такая (синенькая) линия.

Начинается не с нуля, а с некоторой начальной скорости v 0. Это, допустим, начальная скорость перед разгоном, до этого поезд двигался равномерно. В течение времени t тело равноускоренно разгонялось. В конце этого времени скорость тела стала , мы выше рассматривали почему. И вот тут – помните? – соображаем, что пройденный путь равен площади трапеции OBCA. Площадь трапеции – надо вспоминать геометрию – равна полусумме оснований, умноженной на высоту. Одно основание v 0 , другое основание , высота t. Считаем площадь:

Эта формула частенько применяется при решении задач. Но вряд ли стоит её зазубривать. Кто помнит площадь трапеции – то всегда легко выведет эту формулу при необходимости.
Если тело начало разгоняться с места, как наш поезд, начальная скорость его была равна нулю, тогда график получится такой, который нарисован пунктиром.
Пройденный путь будет равен площади треугольника, которая, как известно, равна половине произведения основания на высоту. То есть

13. Аристотель, Галилей и Пизанская башня
Формула №3 определяет ускорение при равноускоренном движении. Но ускоренное движение – не всегда РАВНОУСКОРЕННОЕ. Может быть, так сказать, ПО-РАЗНОМУ УСКОРЕННОЕ. Когда за одинаковые промежутки времени скорость прибывает НЕ на одинаковую величину. Тогда точно так же, как мы определяли мгновенную скорость в данный момент времени, можно определить и мгновенное ускорение

Правда, в школьном курсе физики рассматривается только равноускоренное движение. Поэтому данную формулу мы посмотрели, приняли к сведению, а пользоваться ею особо не будем.
Самый выразительный пример равноускоренного движения – это свободное падение тел.
Древний философ Аристотель, учитель Александра Македонского, учил так: тяжёлое тело падает быстрее, чем лёгкое. Во сколько раз вес тела больше, во столько же раз больше скорость его падения.
Почти две тысячи лет это утверждение не подвергалось сомнению. Но юноша по имени Галилео Галилей засомневался. Он рассуждал так. Гиря весом 2 кг должна падать, согласно Аристотелю, в 2 раза быстрее, чем гиря 1 кг. А если их связать верёвочкой. Получится гиря 3 кг, которая должна падать в 3 раза быстрее килограммовой. Но – можно судить и так: в этой связке килограммовая будет, падая медленней, подтормаживать двухкилограммовую, поэтому их суммарная скорость должна быть равна полтора… Логический тупик! - А почему бы не проверить это практически? – подумал Галилей. Он влез на Пизанскую башню (в городе Пизе, которая уже тогда была наклонной) и стал с неё сбрасывать пушечные ядра разного размера и веса.

И обнаружил, что Аристотель, считавшийся до сей поры непререкаемым авторитетом, неправ. Ядра достигают земли одновременно, независимо от веса! Все тела падают одинаково. Их падение – равноускоренное. Причем, ускорение для всех падающих тел одинаковое, оно составляет 9,8 м/с2 , оно называется «ускорением свободного падения» и обозначается не буквой a, а буквой g .
Галилей за этот поступок получил звание «отца экспериментальной физики». Типа, размышляй, строй гипотезы, но проверкой истинности или ложности твоих гипотез является эксперимент, опыт.

Повседневные наблюдения, казалось бы, противоречат открытию Галилея. Но – вспомним знаменитый школьный опыт с пёрышком и дробинкой (опыт Ньютона). В стеклянную пробирку кладут пёрышко и свинцовую дробинку. Переворачивают пробирку и наблюдают за их падением. Дробинка падает быстрее. Затем из пробирки откачивают воздух и эксперимент повторяют. Оп-па! Оба предмета падают с одинаковой скоростью! Виноват был воздух, который тормозил падение пёрышка! Поэтому и говорят не просто о «падении», а о «свободном падении», то есть о таком, когда исключается сопротивление окружающей среды.
|






|