Если вы отлично знаете,
то не читайте ТЕОРЕТИЧЕСКУЮ ПОДКЛАДКУ,а сразу беритесь за примеры. Для тех же, у кого не особо стойко закрепилась в памяти эта тема физики, предлагаю всё-таки её прочитать.
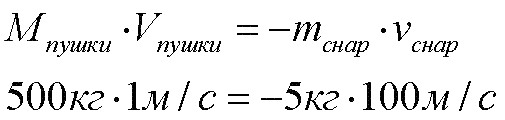
Стрельнули. Из пушки, масса которой 500 кг вылетел снаряд массой 5 кг. Снаряд как бы оттолкнулся от пушки (точнее, от пороховых газов, но они всё равно оттолкнулись от пушки!) Да, ведь и пушка оттолкнулась от снаряда и откатилась в противоположную сторону! Снаряд полетел со скоростью, допустим 100 м/с. А пушка откатилась со скоростью ... угадайте какой? Правильно! Масса снаряда в 100 раз меньше массы пушки, значит скорость пушки в 100 раз меньше скорости снаряда то есть 1 м/с. Можно вот так записать:
Знак "минус" означает что векторы скорости снаряда и пушки направлены в противоположные стороны.
Импульсом (или иначе - количеством движения) называют произведение массы на скорость. Если тело неподвижно (то бишь скорость его равна нулю,то и импульс = 0)
Летел, типа, метеорит массой М со скоростью V. И вдруг раскололся на два куска. Один кусок массой м1 полетел со скоростью v1, а другой кусок массой м2 полетел со скоростью v2. Тогда закон сохранения импульса запишется так:
Или, к примеру, катятся друг к дружке два вагона. У одного из них масса м1 и скорость v1. У другого масса м2 и скорость v2. После соударения они превратились в единую пару с общей массой м1+ м2 и покатились с какой-то уже другой скоростью v пары. Тогда
Закон сохранения импульса сформулируем так: СУММА ИМПУЛЬСОВ НЕСКОЛЬКИХ ВЗАИМОДЕЙСТВУЮЩИХ ТЕЛ НЕ ИЗМЕНЯЕТСЯ ПОСЛЕ ВЗАИМОДЕЙСТВИЯ.
А так. До взаимодействия снаряд, заряженный в пушку, составлял с ней одно целое. Их общая масса была (м снаряда + М пушки). Но ни снаряд, ни пушка не двигались. Скорость этой системы из двух тел была = 0. Поэтому и импульс системы (м сн + М пушки) v = 0. После выстрела общий импульс системы не изменяется, он тоже будет равен нулю.
Отсюда и получилось самое наше первое выражение
А теперь - к примерам! А4 >>> |






