Задача А10 - это задачка на ТЕРМОДИНАМИКУ Итак, все тела состоят из молекул. Если тело нагреть – то есть передать ему извне какое-то количество теплоты – то полная энергия тела увеличится. Если совершить работу по сжатию тела (например, вдвинуть поршень в цилиндр, сжимая находящийся там газ) – то полная энергия увеличится. Если тело само совершит работу (переместит поршень, выталкивая его из цилиндра) - то полная энергия его уменьшится. Итак, полную внутреннюю энергию тела можно изменить двумя способами
Первый закон термодинамики гласит: Изменение внутренней энергии тела равно сумме количества теплоты, переданного телу, и работы, совершённой над телом.
Снизу картинки приведена другая формулировка этого же закона – где показана работа, совершаемая телом (какой-нибудь тепловой машиной) за счет подведённой извне теплоты и изменения внутренней энергии. Термодинамика объясняет работу ТЕПЛОВЫХ ДВИГАТЕЛЕЙ. Тепловыми двигателями называют и паровые машины, и двигатели внутреннего сгорания и газопаротурбинные.
А после расширения поршень надо вернуть на прежнее место, то есть газ сжать до исходного состояния. Если его сжимать при той же температуре, при которой он расширялся, то работа по сжатию газа будет равна той работе, которую газ совершил при расширении. Это значит, что КПД машины будет равен нулю. Чтобы КПД был каким надо, следует к газу подводить тепло, когда он производит работу по сдвиганию поршня (при расширении) и – наоборот – отводить тепло, когда поршень возвращают в первоначальное положение (при сжатии).
Поэтому, тепловая машина состоит их трёх элементов:
Нагревателем в тепловой машине является сжигаемое топливо, а холодильником чаще всего просто окружающий воздух или специально заливаемая вода. КПД теплового двигателя называют отношение полезной работы к количеству теплоты, полученному от нагревателя.
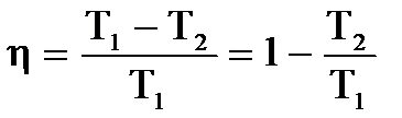
С.Карно предложил формулу максимально возможного КПД идеального теплового двигателя. Видно, что КПД можно повысить или добавляя температуру нагревателя или уменьшая температуру холодильника.
Рассмотрим примеры заданий. Пример 10-1
Разберёмся с этими терминами.
Изо всех этих вариантов только АДИАБАТНЫЙ ПРОЦЕСС идёт без подвода (отвода) теплоты извне. Работа совершается только за счёт изменения внутренней энергии. Правильный ответ № 2. Вот на рисунке показано, как совершаемая над газом работа идёт на увеличение внутренней энергии (она изображается лампочками на подставке).
Пример 10-2 (Демовариант 2014 года)
Изменение внутренней энергии больше нуля. Внутренняя энергия увеличивается. Это может быть лишь потому, что повышается скорость движения молекул и растёт температура. Таким образом два участка ВС и СD надо исключть, в них температура уменьшается. Участок АВ исключим потому, что постоянный объем газа. Те есть, он не расширяется, не толкает никакой поршень и не совершает работу. А в условии задачи работа больше нуля, она совершается. Остался единственный участок DA. Ответ № 4. Пример 10-3 (Демовариант 2013 года)
Согласно первому закону термодинамики изменение внутренней энергии равно количеству теплоты, переданному газу, плюс совершенной над ним работы. Внутренняя энергия изменилась на 38 + 238 = 276. Увеличилась конечно. Потому что и нагрели - увеличили, и сжали - увеличили. Верный ответ №4. Пример 10-4 (Демовариант 2012 года)
Нарисован график ИЗОТЕРМИЧЕСКОГО процесса,рV= const. Если температура не прирастала, то не изменялась и кинетическая (внутренняя) энергия газа. Значит, вся работа перешла в теплоту. Верный ответ № 3. <<<Назад, к задаче А9 | Разбираем далее задачу А11 >>> |










