Задача А1-1Решение. Во-первых, заметим, что речь идёт о МОДУЛЕ СКОРОСТИ, то есть не о векторной, а о скалярной величине. Значит, не надо заморачиваться ни с какими направлениями, годятся все наши упрощенные рассуждения. Итак, закрасим фигуру от t1 = 0 до t2 = 2 сек. Площадь этой фигуры как раз и даст пройденный путь. Эта фигура состоит из треугольничка, размером 2 х 1 и прямоугольника 2 х 1. Площадь прямоугольника 2 х 1 = 2 ; площадь треугольника - половина площади прямоугольника, то есть 1. Общая площадь фигуры 2 = 1 = 3. Может быть разновидность данной задачки. Условие такое же, рисунок такой же, а вопрос таков: "Какой путь пройден телом за вторую секунду?" Мы четко понимаем, что вторая секунда - это время от t1 = 1 до t2= 2. То бишь надо рассматривать только площадь прямоугольника 2 х 1 = 2. Ответ 2 метра. Задача А1 - 2Решение. Каверза здесь вот в чём. График очень похож на предыдущую задачу. Если не обратить внимания, что по оси игреков отложена не скорость, а путь - то можно начать вычисление площади прямоугольника и уйти неверным путём в неведомые дали. На самом деле всё хитрее. В промежутке от 1 до 3 секунд путь не прирастал. Время, типа, идёт, а пройденный путь не прибавляется. Как такое может быть? Это тело вообще стоит на месте, значит его скорость равна нулю!
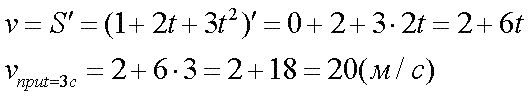
Задача А1- 3Решение. С течением времени изменяется пройденный путь. Это очевидно, ежу понятно. Ежи, думаю, знают, что такое "функция" и могут выразиться так: "Путь - это есть функция от времени". А если в их ежиные лапки вложить крарандаш, то они еще и запишут: Буква f здесь как раз и означает"какая-то функция". Может быть довольно простая зависимоть, напрмер S = 2t. То сеть тело двигается по такому закону, что за одну секунду (t=1) оно проходит путь за две секунды (t=2) за три секунды (t=3) и так далее. Вообще-то любое движение можно задать функцией. Это не всегда просто, но можно! Кто подзабыл, что такое производная, почитайте у нас на сайте по ссылке. Давайте найдем скорость - производную от нашей довольно-таки простой функции Отметим такую интересную штуку. Движение у нас неравномерное. Скорость в разные моменты времени не одинаковая. Скорость сама есть функция от времени. Поэтому в последней формуле кроме цифр затесалась и буква t. И говорить о неком численном значении скорости можно только уточняя: в какой именно момент времени? Верен ответ № 2. Задача А1- 4Какие каверзы могут замутить составители ЕГЭ по задачке с производными? Рассмотрим следующий пример. Сам порядок решения совершенно такой же. Верен ответ № 2. Можно рассматривать <<< Вернуться к теоретической подкладке --- Дальше к задаче А2 >>>
|

