|
|
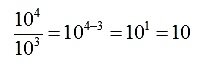
Найдите значение выражения (6,7 - 3,2) х 2,4 |
|
|
Проверяется твоё умение выполнять действия с десятичными дробями. Сначала выполняем то действие, что в скобках - вычитание.
6,7 - 3,2 = 3,5
Затем результат умножаем на 2,4
3,5 х 2,4 = 8,4
|
|
|
8,4 |
|
|
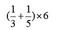
Вычислить  |
|
|
Пример тоже делается в два действия: сначала действие в скобках, а потом уж умножение на 6. Каждый знает, что число, которое пишется над чертой называется числителем, а под чертой - знаменателем. Складывать разрешается только дроби с одинаковыми знаменателями, типа 1/3 + 1/3 = 2/3. А как поступить в нашем случае?
Сначала следует привести дроби к общему знаменателю. Чтобы найти общий знаменатель, надо знаменатели перемножить 3 х 5 = 15. Вот 15 и будет общим знаменателем. Теперь надо и числитель и знаменатель каждой дроби умножить на такое число, чтобы в знаменателе получилось 15. Первую дробь надо умножить на 5, а вторую на 3.
В скобках получится

А для умножения дроби на целое число надо умножить числитель на это число, а знаменатель оставить прежним

Обыкновенную дробь для записи в ответ обязательно следует перевести в десятичный вид, потому что в бланке ЕГЭ возможна запись только в одну строку
|
|
|
3,2 |
|
|
Найдите значение выражения  |
|
|
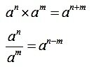
Знаешь ли ты, что такое "возвести в степень"? Это умножить число само на себя столько раз, каков показатель степени. Например

А ещё надо знать свойства степени. Учить их не обязательно, они, как справочный материал, приведены прямо в задании ЕГЭ. Нам пригодятся два свойства:

Согласно первому свойству в числителе дроби представим

Затем сделаем так

Числитель дроби стал таким

Точно такие же преобразования проделаем со знаменателем, в результате преобразованная дробь примет следующий вид

Дальше 24 делим на 6 получаем 4. А показатели степеней при делении выитаются

(Когда число в первой степени, единичка подразумевается, но не пишется).
Ну и всё, осталось 4 умножить на 10
|
|
|
40 |
|
|
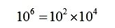
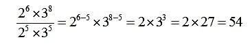
Найдите значение выражения  |
|
|
И это задание на свойства степеней. Но в данном случае у всех степеней разные основания; те действия, что мы выполняли в предыдущем примере не годятся. Надо вспомнить ещё одно свойство

Пользуясь этим свойством, знаменатель распишем так

А теперь всё просто: двойку в шестой степени разделим на двойку в пятой, тройку в восьмой на тройку в пятой. В итоге получим

|
|
|
54 |
|
|
Ивану Кузьмичу начислена заработная плата 20 000 рублей. Из этой суммы вычитается налог на доходы физических лиц в размере 13%. Сколько рублей он получит после уплаты подоходного налога? |
|
|
1% - это сотая часть числа. Чтобы найти 1% надо число разделить на 100. 1% от зарплаты Ивана Кузьмича составит 20000/100=200 рублей.
Иван Кузьмич должен отдать родному государству, не 1, а 13 процентов. Подоходный налог составит 200 х 13 = 2600 рублей.
А упорному труженнику Ивану Кузьмичу предстоит получить на личные нужды 20 000 - 2 600 = 17 400 рублей |
|
|
17400 |
|
|
ЕГЭ по физике сдавали 25 выпускников школы, что составляет треть от общего количества выпускников. Сколько выпускников этой школы не сдавали экзамен по физике? |
|
|
Треть - это одна третья часть, выражается обыкновенной дробью 1/3. А всего в школе было выпускников 1/3+2/3=3/3=1. Значит, 2/3 не сдавали физику. Забоялись.. Много таких выпускников? В два раза больше, чем тех, которые сдавали.
Вот их сколько 25 х 2 = 50! |
|
|
50 |
|
|
Найдите m из равнества F = ma, если F = 84 и a = 12. |
|
|
Проше всего, сразу подставить числовые данные; тогда получится обычное простецкое уранение
84 = 12 m
Его совсем понятно, как решать m = 84/12 = 7 |
|
|
7 |
|
|
Найдите из равнества , если
v = 20, t = 2 и a = 7. |
|
|
Поступим так же, как и в предыдущем случае: все известные числа вставим вместо букв. Получилось несложное уравнение

Оно совсем легко решается

|
|
|
6 |
|
|
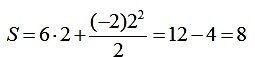
Найдите S из равенства  |
|
|
Здесь даже нет необходимости приводить подобные члены или переносить их из правой части уравнения в левую. Просто подставляй числа вместо букв и получай ответ

|
|
|
8 |
|
|
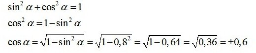
Найдите  |
|
|
Для решения этой задачи надо во-первых знать так называемое "основное тригонометрическое тождство"

С его помощью очень легко найти значение косинуса

Но при извлечении квадратного корня получаются два числа - положительное и отрицательное. Какое же нам взять: плюс 0,6 или минус 0,6? Подсказку даёт второе условие в задаче - промежуток, к которому принадлежит угол.
Поэтому надо знать второе понятие "тригонометрический круг".

Не будем влезать в теорию, если не помнишь - учебник почитай. Косинус во второй четверти имеет знак "минус" (наш угол больше 90 градусов, но меньше 180 градусов, это как раз вторая четверть). Поэтому для ответа выбираем отрицательное число из под корня
|
|
|
- 0,6 |
|
|
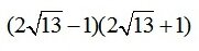
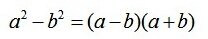
Найдите значение выражения  |
|
|
Можно просто-напросто умножить одну скобку на другую. Всё нормально получится! Но если вспомнишь формулы сокращённого умножения, а именно - разность квадратов - решение будет не только простым, но ещё и красивым.
Формула разности квадратов выглядит так

Можно её переписать и так

А теперь сравни эту формулу и пример из задания. Похоже? Тогда

|
|
|
51 |
|
|
Найдите значение выражения  |
|
|
Этот пример чуток похитрее, по крайней мере, он в двух действиях.
Первое действие: мы видим основание степени 5, а в показателе степени сумма двух чисел. Сразу на ум приходит формула из второй задачки. Согласно этой формуле

Ну, и для второго действия надо знать такую формулу

Это главная определительная формула по теме "логарифмы". Тогда

Ну, и 6 х 5 = 30
|
|
|
30 |
|
|
Баночка йогурта стоит 14 рублей 60 копеек. Какое наибольшее количество баночек йогурта можно купить на 100 рублей? |
|
|
Цена баночки йогурта в рублях 14,6. Раздели 100 на 14,6. Если без калькулятора делить с остатком не умеешь, можно подбирать прикидочно.. Получится 6 целых баночек.
6 х 14,6 = 87,6
Останется денег 100 - 87,6 = 12,4 рубля, но их не хватит на седьмую баночку. |
|
|
6 |
|
|
Килограмм моркови стоит 40 рублей. Олег купил 1 киллограмм 600 граммов моркови. Сколько рублей сдачи он должен получить со 100 рублей?
|
|
|
Задача очень простая и совершенно практическая. Ты её решаешь каждый раз при посещении магазина. Сначала определим: сколько стоят 1,6 киллограмма моркови?
40 х 1,6 = 64 рубля.
А теперь - сколько должно быть сдано с сотни сдачи?
100 - 64 = 36 рубликов |
|
|
36 |
|
|
Для ремонта квартиры требуется 63 рулона обоев. Какое минимальное количество пачек обойного клея нужно купить для ремонта квартиры, если 1 пачка клея рассчитана на 6 рулонов? |
|
|
Вопрос в задаче переформулируем так: во сколько раз 63 рулона больше, чем 6 рулонов (на которые хватает одной пачки клея)?
63 : 6 = 10 ( и 3 в остатке).
То есть, если возьмём 10 пачек клея, то его хватит для приклейки 60 рулонов. А ещё 3 рулона останутся неприклеенными. Значит надо брать 11 пачек (хотя немного клея останется). |
|
|
11 |
|
|